
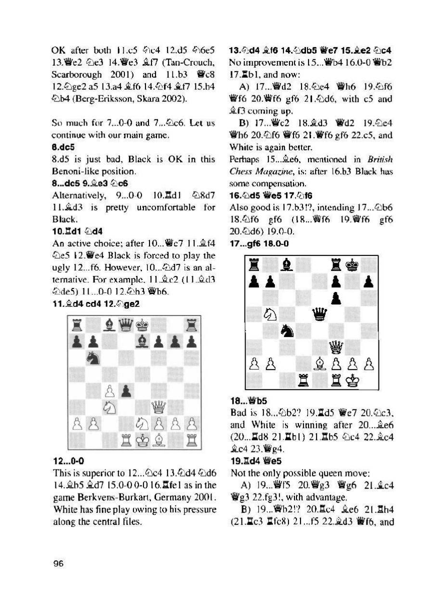
In view of the 'threat' 3...~f3, Lev
Gutman played 3.tbg5 in
a
recent game.
Although this move receives full marks
for surprise value, its objective merits are
negligible. After 3.0.g5?! h6
4.tbe4
d5!?
5.lL!c5
~c8!? 6.ti)d3
tbf6
Black had
a
good position in
Gutrnan-Schlindwein,
Altenkirchen
2001. A
similar 'over-reac-
tion' was 3.<iJfd2 d5!? 4.c4 c6 5.tijc3 e6
6.'ii'b3 'ii'b6. and Black had
a
pleasant
Slav in Belotelov-Dovzik. Paks
2000.
One may well wonder when 3.tbgl will
receive its first outing.
3. ...
c6
This slightly passive move is more or less
forced. Black has no decent alternative
available. even though Yrjolli and Tella's
above-mentioned book will tell you oth-
erwise.
A) Thus 3...~c6?! invites 4.dS t;':b8
5.'i'b5 (S.h3 ~d7 6.e4 e5 7.de6 fe6
R.~g5;!; Ciglic-Novacan, Slovenia 1994
is cited in the above-mentioned book)
S...ti)d7
6.t.rh7. and White is just a pawn
up.
B) 3...<i}d7deserves slightly more at-
tention.
90
B I) The indifferent 4.~g5 has been
played
a
couple of times, one example be-
ing
4...
c6
5.Lt:lc3 'it'a5 6.h4
Vogler-Bezold. Wiesbaden 1990. Blade
has in fact several ways to get a good posi-
tion.
B2)
It
is interesting to see how
Gutman's
idea works out under these cir-
cumstances: 4.tL!g5!? First of all 4...h6
is
met by the funny move 5.tbh7!?, whi
Ie
af-
ter 4...
~gf6
Black must take into
account
the double attack 5.~b3, when 5...
e6
is
forced. Now the immediate 6.'i!t'b7 gives
Black reasonable compensation after
6...h6 7.tLJf3
zrs.
However, it makes
sense for White to interpolate 6.f3!? he-
fore taking on b7. Unfortunately, Black
has the sobering reply 4...e6!, e.g. 5.... e4
(5.~h7'? ~f5) 5...~f5.
B3) Best, it seems to me, is the novelty
4.lWe4!. attacking the bishop and the
pawn on b7. Black has little better than
4....'tf3 5.~f3, when White has a small
edge because of his bishop pair.
4. c4
The correct way
10
gain a slight plus.
A)
It
makes little sense
to
play 4.e4 -
then why play 3.~d3? After 4...thf6
(4....!tJd7 5.~c2 0.gf6 6.~bd2 e5. in
Philidor style. is also fine, Seba-
Altounian, Bratislava 1993) S.li2bd2
(5.tLiC3
e6 6.h3 ~h5 7.~g5 ~e7 8.~e2
~bd7= Bugajski-Czerwonski, Warsaw
1997) 5...e6 6.c3
Ac7
7.g3 0-0 8..~g2 d5
Black had a nice position in Lagrotteria-
Miles, Toscolano 1996.
B) After
4.tL;c3
Black has plenty of
satisfactory moves: 4...tLld7. 4...tijf6 and
4...e6 are all tine and will in all likelihood
transpose to 4.e4. However. Black should