
9.~c4 ~e5 !O.~b3 0.g6 11.f4
eo
12.f5
"a5 13.0-0-0 0-0-0 14.'ifh3±
Kindermann-Efimov, Portoroz
tt
1998.
White's main moves now are: 7.f4,
7.'t!Vd2 and 7.~db5. Before we delve
deeper into the matter here are some mi-
nor alternatives:
• 7.~f3 h6!? 8.~f6 gf6 9.0-0-0 a6
1O.~h5
tzJc6
Il.ttJc6 bc6 12.~c4 ~b6
and Black is ok in this funny Rauzer,
Santo Roman- Efimov, Bastia rapid 1997.
• 7.ft'd3 a6 8.f4 h6 9..ah4 ~e7 10.tt1f3
.ac6 11.0-0-0 lDbd7 12.1t'e2 0-0 13.wbl
liJe4! Belotti-Efirnov, Reggio Emilia
1997.
• 7.0
a6 8.'ftd2
~e7
9.0-0-0 b5
1O.'it>b
I
b4 II.~f6 ~f6 12.tDce2 '*'b6=i=
Tomczak-Szczechowicz, Barlinek 2002.
AI) 7.f4
A2) 7.~d2
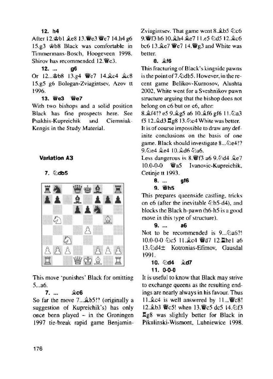
A3) 7.ttjdb5
Variation A1
7. f4 ~c6
This is the main line. but possibly 7...
lJie
7
is stronger. The game Arakhamia-
Kupreichik, Mariehamn 1997, went:
8.'ifd2 a6
!W-O-O
h6 1O.~h4 0-0 and in
answer
to
II.g4 Black executed the stan-
dard 11...lbe4 with a good game. After
7 1J..e78.'iWd2 Black can also opt for
8 h6!? when 9.~f6 .if6 10.tiJdb51J..bS
Il.tiJbS 0-0 12.0-0-0 'tWb6! 13.'4!fd6
(l3.c3 d5 14.ed5 a6 IS.lijd4 ed5~)
13...tt1c6 14.'tta3 l:tfd8 gives more than
sufficient compensation for the pawn.
Solleveld-Bosch, Dutch
tt
1998.
174
B. tbdb5
Simply bad is 8.~f6 -.f6 9.lbdb5 be-
cause of
9...
0-0-0
JO.'iIi'd2
a6
1
l.0.a3
d5
12.ed5 ed5 13.~e2.ib4 14.
'it>dI
~f5 and
While resigned in Suknev-Sidorov, Yalta
1995.
8..... bB
s.es
de5 10.
.af6
g'6 11.'it'd2 f5
12.o.0-{l ..-d8 13.fe5 ~e5 14....d4 with
a dangerous initiative in Van den
Doel-Kupreichik, Groningen 1996.
Variation A2
7. *d2 a6
This seems forced as White is ready for
tbdb5 and 0-0-0 attacking d6. Yet, after
7...
sa
8.tLldb5 ~b5 9.~b5
tDc6 10.0-0
0-0 II.:aadl .l::tc812.~e2 a6 White had at
best a tiny edge in Kokarev-Kozlov,
Voronezh 2002.
8. f4
Not in keeping with this Rauzer set-up is
8.~c2. In Timoshenko-Jaracz.
Lubniewice
tt
1998. Black equalized with
8".~e7 9.f4 'it'c7 1O.tUf3h6 11.~h4 ~c6
12.~d3 lbbd7 13.0-0 0-0 14.Whl b5