
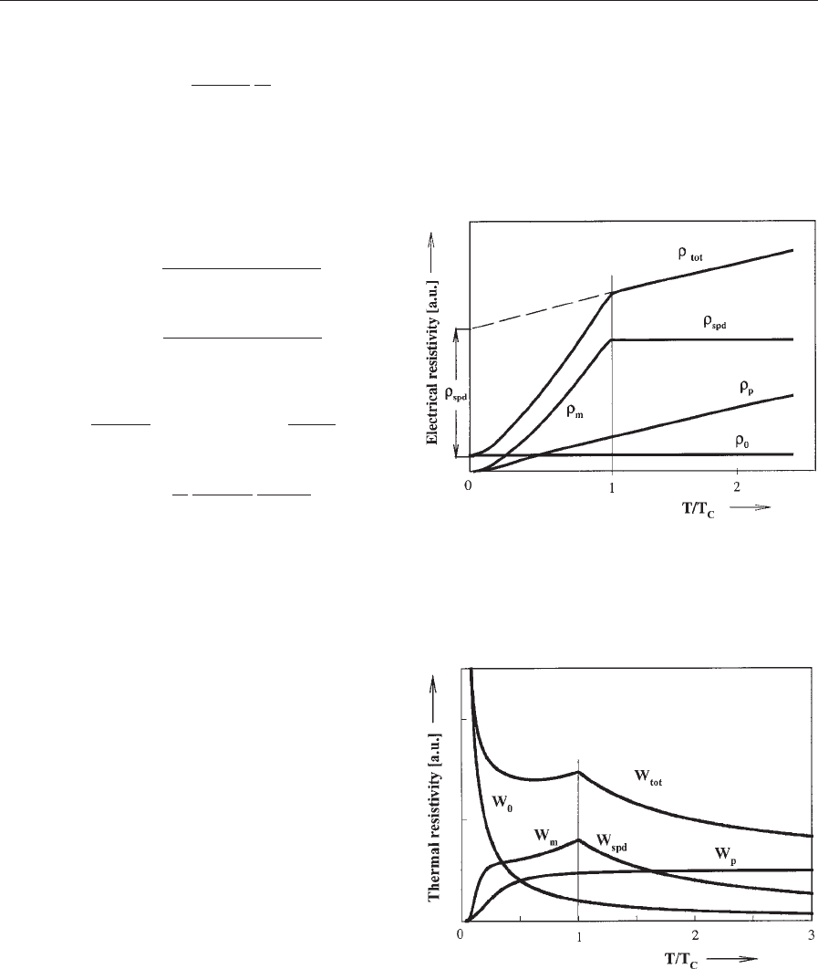
Fig. 1 shows schematically the temperature varia-
tion of the electrical resistivity due to potential scat-
tering (r
0
), phonon scattering (r
p
) and magnetic
scattering (r
m
and r
spd
). The total resistivity r
total
is
the sum of the residual, the phonon and the magnetic
resistivity. That means we assume that Matthiessen’s
rule holds.
Fig. 2 shows in an analogous way to Fig. 1 the
temperature variation of the thermal resistivities W
due to impurity, phonon and magnetic scattering.
The total thermal resistivity W
total
is again the sum of
these three thermal resistivities (Matthiessen’s rule).
In Fig. 3 the temperature variation of the thermo-
power due to potential scattering (S
0
), phonon scat-
tering (S
p
) and magnetic scattering (S
m
) are sketched.
The inset shows the functions F
s
m
, F
s
p
, G
s
p
and G
s
m
.
6. Conclusion
In this section the electronic transport coefficients
(r, W, S and P) have been considered in the scope of
the linearized Boltzmann equation. To use this clas-
sical formalism it is necessary that
(i) the conduction electrons can be described by
Bloch wave-packets (characterized by g ¼ k
-
, n, s)
(ii) scattering processes can be described as tran-
sitions from a state g into a state g
0
(iii) the time in between two successive scattering
processes has to be long enough in order to establish
the formation of a wave packet.
From the latter point it follows that the mean free
path of a conduction electron has to be much longer
than the interatomic distances. This means that only
a limited number of collisions per unit time can be
experienced by an electron (for a normal metal this
gives an upper limit for the electrical resistivity of
about 200–300 mO cm). If these conditions are not
fulfilled the classical treatment of transport phenom-
ena fails and a quantum mechanical consideration is
necessary (Kubo 1959). For an example, see YMn
2
in
Intermetallic Compounds: Electrical Resistivity. In the
scope of the Boltzmann formalism the external fields
change the distribution function which is used in or-
der to calculate the corresponding current densities
(see Eqns. (39a) and (39b)).
The linear relations between these current densities
and the external fields determine the linear transport
coefficients (see Eqns. (46a)–(46d)). The necessary
distribution functions were calculated as a solution of
the linearized Boltzmann equation. In this section,
two of the most simplest solution methods for the
Boltzmann equation have been discussed
(i) Relaxation time approximation
(ii) Variational method (however with only two
trial functions)
An important result of these simple approxima-
tions are the sum rules, since these rules are very
helpful for the analysis of experimental data (see
also Intermetallic Compounds: Electrical Resistivity,
Kondo Systems and Heavy Fermions: Transport Phe-
nomena). As independent scattering mechanisms, the
potential scattering, the phonon scattering and spin
dependent scattering are considered and the corre-
sponding temperature dependence of r, W and S are
outlined. In the figures these temperature dependen-
cies are schematically shown according to Eqns.
(72a)–(72c) (potential scattering), Eqns. (75a)–(75c)
(phonon scattering) and Eqns. (81a)–(81c) (magnetic
scattering).
Bibliography
Butcher P N 1973 Basic electron transport theory. In: Salam A
(ed.) Electrons in Crystalline Solids. IAEA, Vienna, pp. 103–
65
Durczewski K, Ausloos M 1996 Theory of the thermoelectric
power or Seebeck coefficient: the case of phonon scattering
for a degenerate free-electron gas. Phys. Rev. B. 53, 1762–72
Gratz E, Bauer E, Nowotny H 1987 Transport properties in
rare earth intermetallics. J. Magn. Magn. Mater. 70, 118–25
Gratz E, Nowotny H 1985 Thermopower in rare earth inter-
metallics. Physica 130B, 75–80
Kubo R 1959 Lecture in Theoretical Physics. Interscience, New
York, Vol. 1 Chap. 4
Ziman J M 1962 Electrons and Phonons. Clarendon, Oxford
H. Nowotny
Vienna University of Technology, Austria
E. Gratz
Vienna University of Technology, Austria
Figure 3
The calculated temperature variation of the
thermopower S for a ferromagnetic compound due to
impurity, phonon, and magnetic scattering (the inset
shows the functions F
s
m
, F
s
p
, G
s
p
, and G
s
m
.
57
Boltzmann Equation and Scattering Mechanisms