
248 / Cold and Hot Forging: Fundamentals and Applications
cooldown. Both the MTS Systems Corporation
compression stand and Gleeble test unit were
used to perform these compression tests. The ad-
vantage of the MTS test stand is that it can pro-
vide more uniform temperature of the work-
piece. The advantage of the Gleeble test is that
it can perform a fast postforging cooling with a
controlled manner. From these compression
tests with rapid postdeformation cooling, infor-
mation related to dynamic recrystallization ki-
netics was obtained. The kinetics information in-
cluded: peak strain for dynamic recrystallization
which is related to the critical strain for(¯e ),
p
dynamic recrystallization the strain that(¯e );
c
corresponds to 50% (0.5 fraction) dynamic re-
crystallization the fraction of dynamic re-(¯e );
0.5
crystallization (X
dyn
); and the size of dynami-
cally recrystallized grains (d
dyn
). Information
regarding meta-dynamic recrystallization and
postforging grain growth was also obtained from
compression tests with controlled postforge hold
times. This information included: time for 50%
meta-dynamic recrystallization (t
0.5
), fraction of
meta-dynamic recrystallization (X
m-dyn
), meta-
dynamically recrystallized grain size (d
m-dyn
),
and grain growth at a given temperature and
time after the completion of meta-dynamic re-
crystallization.
19.2.3 Pancake and Generic Forgings
In addition to laboratory tests, large pancakes
and generic component configurations were pro-
duced on production equipment under various
forging conditions and methods to assess the mi-
crostructure model.
Finite-element analysis was used for each ex-
periment to provide detailed information for
each test. Thus, accurate thermal-mechanical
histories of local points of forged samples were
used to develop the models for the microstruc-
ture evolution of Waspaloy during the forging
process.
19.3 Microstructure
Model Formulation
The processes that control grain structure evo-
lution during hot working of superalloys were
found to be dynamic recrystallization, meta-dy-
namic recrystallization, and static grain growth.
Microstructure model formulation is discussed
in these three categories. Waspaloy formulas are
used as examples here [Shen et al, 1995].
19.3.1 Dynamic Recrystallization
Dynamic recrystallization happens instanta-
neously during high-temperature deformation.
The fraction of dynamic recrystallization can be
obtained by examining micrographs obtained
from samples quenched after the deformation.
Under production conditions, pure dynamic re-
crystallization is difficult to achieve. This is be-
cause meta-dynamic recrystallization often fol-
lows immediately. The amount of dynamic
recrystallization is related to the as-preheated
grain size (d
0
), effective strain temperature(¯e),
(T), and effective strain rate in a hot defor-
˙
(¯e)
mation process. There are four important param-
eters related to dynamic recrystallization: the
peak strain the strain for 50% dynamic re-(¯e ),
p
crystallization the fraction of dynamic re-(¯e ),
0.5
crystallization (X
dyn
), and the size of dynami-
cally recrystallized grains (d
dyn
).
Peak Strain. The strain corresponding to the
peak stress in the flow stress curve is an(¯e )
p
important measure for the onset of dynamic re-
crystallization. The occurrence of dynamic re-
crystallization modifies the appearance of flow
curves. At the strain rates typical for forging of
Waspaloy, single-peak stress-strain curves are
most common. As a result of dynamic recrys-
tallization, the stress diminishes to a value in-
termediate between the yield stress and the peak
stress once past the peak strain. The reason for
this curve following a single peak is that under
the condition of high Z (Zener-Hollomon pa-
rameter, Z ⳱ for Waspaloy),
˙
¯e exp[468000/RT]
the dislocation density can be built up very fast.
Before recrystallization is complete, the dislo-
cation densities at the center of recrystallized
grains have increased sufficiently that another
cycle of nucleation occurs, and new grains begin
to grow again. Thus, average flow stress inter-
mediate between the yield stress and the peak
stress is maintained. The equations developed
for the peak strain for Waspaloy are:
ⳮ4 0.54 0.106
¯e ⳱ 5.375 ⳯ 10 d Z
p0
(sub- and in-c⬘ solvus) (Eq 19.1)
ⳮ4 0.54 0.106
¯e ⳱ 1.685 ⳯ 10 d Z (super-c⬘ solvus)
p0
(Eq 19.2)
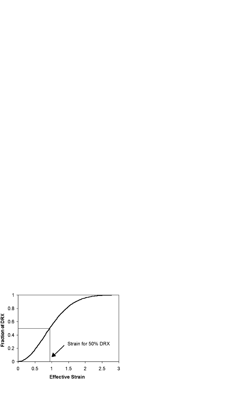
Strain for 50% Dynamic Recrystallization.
Micrographs taken from quenched compression
samples show that dynamic recrystallization
progresses in a sigmoidal manner with respect