
x,
=
(x
n
,x
r2
,.--,x
m
) — вектор-столбец из значений моделиру-
емых показателей в момент времени Г,
х,— вектор расчетных (прогнозных) значений моделируемых
показателей для момрнта времени t,
X, = (х,, х,,..., х,)
—
вектор-столбец с компонентами из одина-
ковых вектор-столбцов х,;
Х,
+
. = (х,
+1
, х
+2
,..., х
+
) ~~ вектор-столбец с компонентами из
вектор-столбцов прогнозных значений моделируемых показателей;
Х^
+
. = (х^
+1
, х,
с
+2
,..., x
r
c
+
J — вектор-столбец значений комбини-
рованной прогнозной траектории для моментов времени t+ 1, t + 2,
... , t +т;
со^ц — индикаторная переменная, принимающая значение О
или 1 в зависимости от результата сравнения полученной величи-
ны /-го показателя в v-м эксперименте для периода t + I с соот-
ветствующим к-м вариантом;
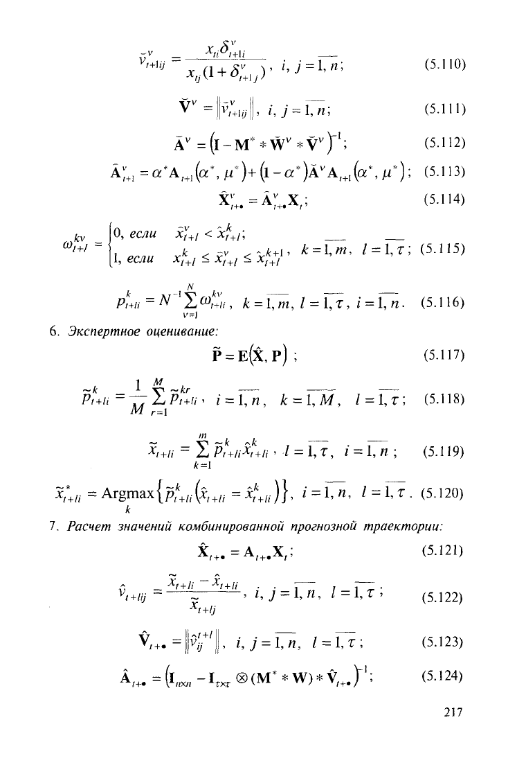
Ад — начальное значение матричного предиктора;
V
e
— начальное значение комбинированной матрицы прямых и
косвенных темпов прироста;
Vy — элемент /-й строки у'-го столбца матрицы V
e
;
V,
+
,— корректирующая матрица прямых и косвенных темпов
прироста для моментов времени t + 1, t + 2, ... , t + т;
v
t+li
j—
элемент /-й строки у-го столбца матрицы V,
+
., опреде-
ляемый по отклонениям постпрогнозных расчетов от фактических
значений для периода / + /;
Z(a, fi) — критерий настройки параметров адаптации а и ц.
Ag
+/
(a, /i) — скорректированное на прогнозные ошибки зна-
чение предиктора для момента времени 9+1;
А
!+
,—
корректирующая матрица для моментов времени t + 1,
t+2,
..., t +
т;
А, — предиктор для моментов времени г,
P
l
k
+lj
— вероятность реальности значения /-го показателя по
к-му варианту в момент времени / + /;
А^
+
. — предиктор комбинированной модели для моментов вре-
мени t + 1, t + 2, ..., t + г.
III.
Инициализация глобальных констант
t = 3, т = 3, в = 2;
т = 5, М = 11;
N = 700.
214