125
ëåå òðóäíî ðàçäåëèòü áóòàí-áóòèëåíîâóþ ôðàêöèþ: òåìïåðàòóðà
êèïåíèÿ èçîáóòàíà ïðè íîðìàëüíîì äàâëåíèè ñîñòàâëÿåò 11,7
î
Ñ,
èçîáóòèëåíà 6,9
î
Ñ, áóòåíà-1 6,29
î
Ñ, à í-áóòàíà 0,5
î
Ñ.
Ðåêòèôèêàöèþ ñæèæåííûõ ãàçîâ ïðèõîäèòñÿ ïðîâîäèòü ïðè
ïîâûøåííîì äàâëåíèè â êîëîííàõ, ïîñêîëüêó äëÿ ñîçäàíèÿ æèäêî-
ñòíîãî îðîøåíèÿ íåîáõîäèìî ñêîíäåíñèðîâàòü âåðõíèå ïðîäóêòû
êîëîíí â îáû÷íûõ âîçäóøíûõ â âîäÿíûõ õîëîäèëüíèêàõ, íå ïðè-
áåãàÿ ê èñêóññòâåííîìó õîëîäó.
Êîíêðåòíûé âûáîð ñõåìû (ïîñëåäîâàòåëüíîñòè) ðàçäåëåíèÿ,
òåìïåðàòóðû, äàâëåíèÿ è ÷èñëà òàðåëîê â êîëîííàõ îïðåäåëÿåòñÿ
ñîñòàâîì èñõîäíîé ãàçîâîé ñìåñè, òðåáóåìîé ÷èñòîòîé è çàäàííûì
àññîðòèìåíòîì ïîëó÷àåìûõ ïðîäóêòîâ.
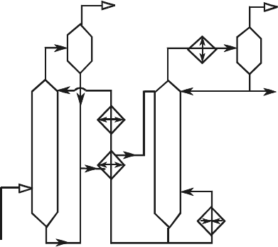
Íà HÏÇ äëÿ ðàçäåëåíèÿ íåôòåçàâîäñêèõ ãàçîâ ïðèìåíÿþòñÿ
ïðåèìóùåñòâåííî äâà òèïà ãàçîôðàêöèîíèðóþùèõ óñòàíîâîê,
â êàæäûé èç êîòîðûõ âõîäÿò áëîêè êîìïðåññèè è êîíäåíñàöèè:
ðåêòèôèêàöèîííûé ñîêðàùåííî ÃÔÓ è àáñîðáöèîííî-ðåêòèôè-
êàöèîííûé ÀÃÔÓ. Íà ðèñóíêàõ 34 è 35 ïðèâåäåíû ïðèíöèïè-
àëüíûå ñõåìû ÃÔÓ äëÿ ðàçäåëåíèÿ ïðåäåëüíûõ ãàçîâ è ÀÃÔÓ äëÿ
ôðàêöèîíèðîâàíèÿ æèðíîãî ãàçà è ñòàáèëèçàöèè áåíçèíà êàòàëè-
òè÷åñêîãî êðåêèíãà (íà ñõåìàõ íå ïîêàçàíû áëîêè ñåðîî÷èñòêè,
îñóøêè, êîìïðåññèè è êîíäåíñàöèè). Â áëîêå ðåêòèôèêàöèè ÃÔÓ
(ñì. ðèñóíîê 34) èç óãëåâîäîðîäíîãî ãàçîâîãî ñûðüÿ ñíà÷àëà
â äåýòàíèçàòîðå 1 èçâëåêàþò ñóõîé ãàç, ñîñòîÿùèé èç ìåòàíà
è ýòàíà. Íà âåðõó êîëîííû 1 ïîääåðæèâàþò íèçêóþ òåìïåðàòóðó
ïîäà÷åé îðîøåíèÿ, îõëàæäàåìîãî â àììèà÷íîì êîíäåíñàòîðå-
õîëîäèëüíèêå. Êóáîâûé îñòàòîê äåýòàíèçàòîðà ïîäàþò â ïðîïàíî-
âóþ êîëîííó 2, ãäå ðàçäåëÿþò íà ïðîïàíîâóþ ôðàêöèþ, âûâîäè-
ìóþ ñ âåðõà ýòîé êîëîííû, è ñìåñü óãëåâîäîðîäîâ Ñ
4
è âûøå,
íàïðàâëÿåìóþ â áóòàíîâóþ êîëîííó 3. Ðåêòèôèêàòîì ýòîé êîëîí-
íû ÿâëÿåòñÿ ñìåñü áóòàíîâ, êîòîðóþ â èçîáóòàíîâîé êîëîííå 4
ðàçäåëÿþò íà èçîáóòàíîâóþ è áóòàíîâóþ ôðàêöèè. Êóáîâûé ïðî-
äóêò êîëîííû 3 ïîäàþò äàëåå â ïåíòàíîâóþ êîëîííó 5, ãäå â âèäå
âåðõíåãî ðåêòèôèêàòà âûâîäÿò ñìåñü ïåíòàíîâ, êîòîðóþ â èçîïåí-
òàíîâîé êîëîííå 5 ðàçäåëÿþò íà í-ïåíòàí è èçîïåíòàí. Íèæíèé
ïðîäóêò êîëîííû 5 ôðàêöèÿ Ñ
6
è âûøå âûâîäÿò ñ óñòàíîâêè.
Äëÿ äåýòàíèçàöèè ãàçîâ êàòàëèòè÷åñêîãî êðåêèíãà íà óñòà-
íîâêàõ ÀÃÔÓ (ñì. ðèñóíîê 35) èñïîëüçóåòñÿ ôðàêöèîíèðóþùèé