
Deviation of the distribution function from equilibrium increases as T approaches
T
c
because the diffusion, relaxation becomes slow due to an increase in the
vortex core size.
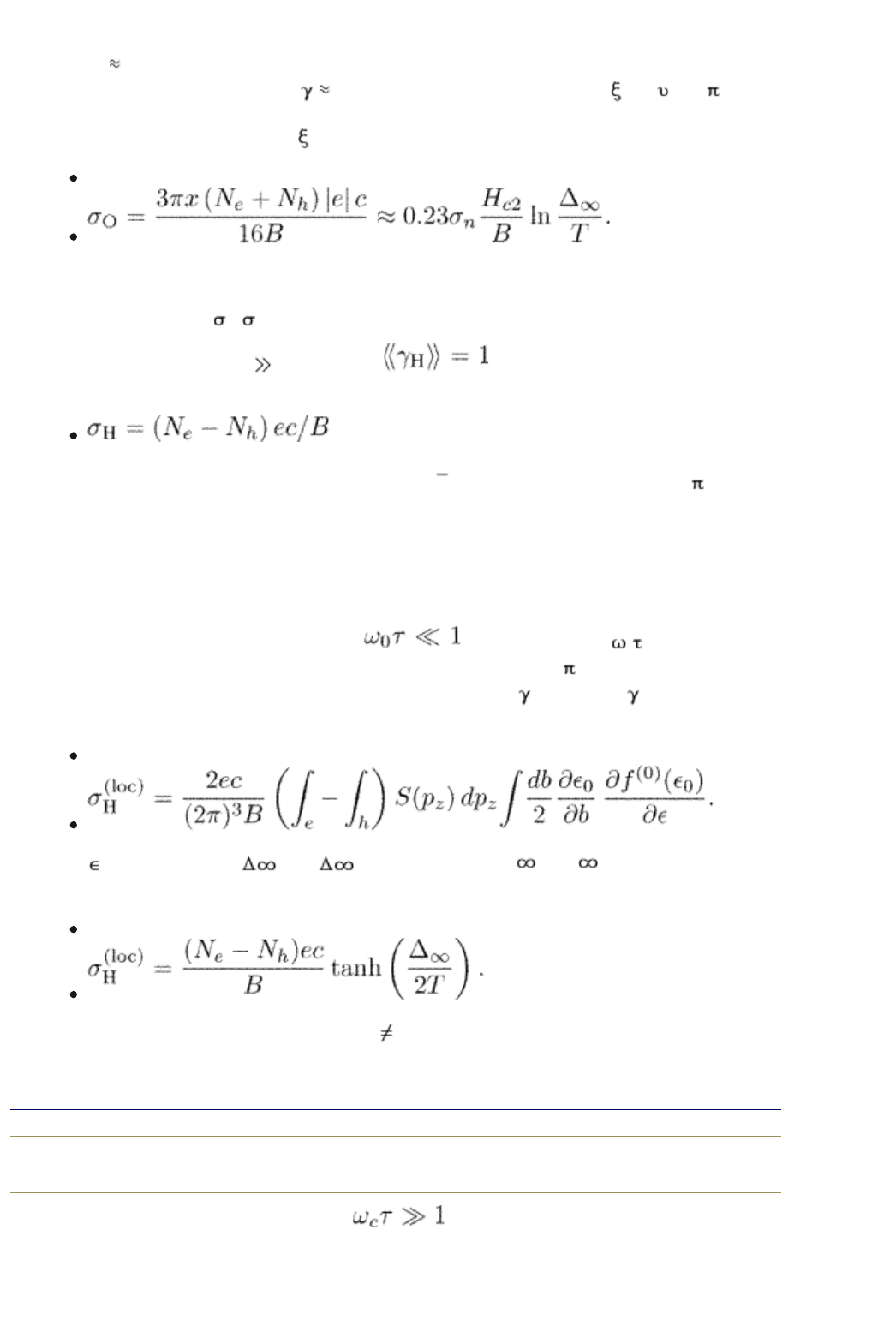
We can make an interesting observation concerning the sign of the Hall effect.
Comparing eqn (14.78) with the Hall conductivity in the normal state (Abrikosov
1998):
(14.81)
we see that the sign of the normal-stale Hall conductivity can differ from that in
the superconducting state. The- reason is that the sign is determined by the
result of subtraction of electron and hole contributions which arc given by
integrals over the Fermi surface taken of the functions with different momentum
dependences. It is the cyclotron frequency in the normal state, while it is the
interlevel spacing in the superconducting state. For example, the hole
contribution in the normal state can be larger than the electron contribution,
however, electrons can give more than holes in the superconducting state. The
sign of the Hall effect in this rase will change after the transition from the normal
to the superconducting state. The sign reversal depends on the shape of the
Fermi surface; it is absent for a simple parabolic spectrum E
n
= p
2
/2m* when the
flux-How and the normal-state Hall conductivities have the same sign as was
assumed in the earlier models by Bardeen and Stephen (1965) and by Nozières
and Vinen (1966). The possibility for the Hall angle anomaly, i.e., for the sign
reversal of the Hall angle exists also within the modified TDGL model discussed in
Section 12.9.1. If was attributed to the energy dependent density of states at the
Fermi surface. In clean superconductors, the origin of the Hall angle sign reversal
is also associated with a complicated Fermi surface in the normal state. However,
the exact reason for the anomaly is slightly different: In clean superconductors,
the energy spectrum of localized excitations in the vortex core plays the most
important role. Being dependent on the shape and on the topology of the Fermi
surface, the Hall effect anomaly can appear or disappear as the chemical
potential E
F
varies for different doping levels of the superconducting material.
This behavior has been indeed observed in many experiments (see, for example,
Nagaoka et al. (1998)).
To conclude the discussion we note that the origin of the Hall effect in clean
superconductors differs from the mechanism discussed in Section 12.9. In clean
superconductors, it is the dynamics of nouequilibrium excitations which
determines the conductivity. It gives a much larger contribution to the Hall
conductivity than what we have obtained in Section 12.9. Indeed, the Hall angle
in a moderately clean limit is
while it only is
for the mechanism associated with the variation of
the pairing interaction due to the chemical potential changes induced by a
moving vortex. The latter effect does not exist within the quasiclassical
approximation. It appears due to violation of the particle–hole symmetry of eqn
(13.14); the symmetry breaks down when the density of states assumes an
energy dependence beyond the quasiclassical
end p.296
Kopnin, Nikolai, Senior Scientist, Low Temperature Laboratory, Helsinki University of
Technology, and L.D. Landau Institute for Theoretical Physics, Moscow
Theory of Nonequilibrium Superconductivity
Print ISBN 9780198507888, 2001
pp. [296]-[300]
Oxford Scholarship Online: Theory of Nonequilibrium Supe... http://www.oxfordscholarship.com/oso/private/content/phy...
第1页 共6页 2010-8-8 16:10