Файлы
Обратная связь
Для правообладателей
Найти
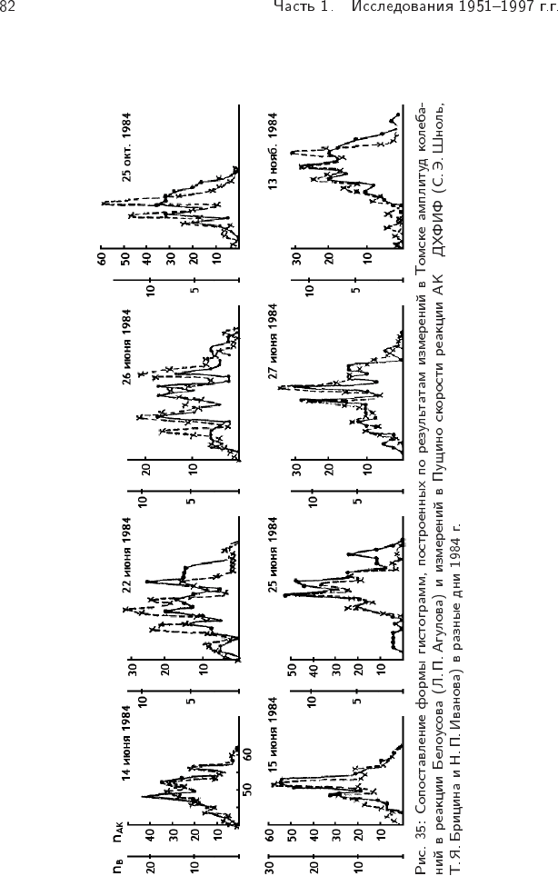
Шноль С.Э. Космофизические факторы в случайных процессах
Файлы
Академическая и специальная литература
Биологические дисциплины
Биофизика
Назад
Скачать
Подождите немного. Документ загружается.
+
+
−
−
+
+
2
+
3
+
2
14
2
14
2
+
+
3
◦
0
◦
0
+
55
55
55
+
+
+
+
239
◦
0
◦
239
‹
1
2
...
6
7
8
9
10
11
12
...
38
39
›