Файлы
Обратная связь
Для правообладателей
Найти
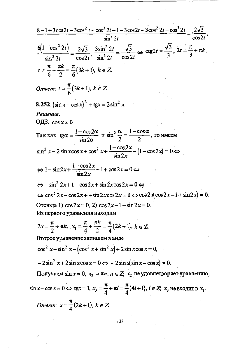
Сканави (группа Б) решебник
Файлы
Несортированное
Математика
Прочие разделы математики
Назад
Скачать
Подождите немного. Документ загружается.
‹
1
2
...
11
12
13
14
15
16
17
...
83
84
›