Файлы
Обратная связь
Для правообладателей
Найти
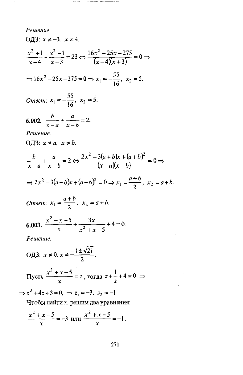
Сканави М.И. Полный сборник решений задач для поступающих в вузы
Файлы
Абитуриентам и школьникам
Математика
Подготовка к экзамену по математике
Назад
Скачать
Подождите немного. Документ загружается.
‹
1
2
...
25
26
27
28
29
30
31
...
91
92
›