Файлы
Обратная связь
Для правообладателей
Найти
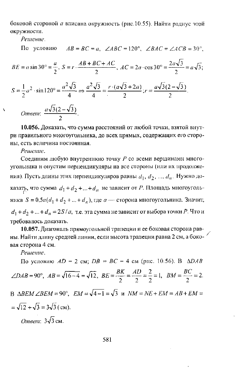
Сканави М.И. Полный сборник решений задач для поступающих в вузы
Файлы
Абитуриентам и школьникам
Математика
Подготовка к экзамену по математике
Назад
Скачать
Подождите немного. Документ загружается.
‹
1
2
...
56
57
58
59
60
61
62
...
91
92
›