
Обратные токи, определяемые поверхностной рекомбинацией;
kT OA b
/hos_
q ' р? (b+iy-
„ 2R
S
1 R
2
K
-Rl
I
~Г 7 Г
—п~
• х-
L
ss эФФ £ Li
ь
б.эфф
^-6 эфф = Y&&•*№> ~ .,_ ~
т
"f" "Т~
>
да,
5-10-3
_I_
=
1 1 _ 1
ЪФФ
30-Ш-
6 +
2,Ы0-
6
^
1,95.Ю-*^"
т
э
фф = 1,95- Ю
-6
сек;
L
6 эфф
= у
г
44.1,95-10-
6
= 9,3-10-» см;
О,
О2G •
1,5.0,22
•
3,14
•
5
• Н)
-
э
Г 0,11 1
Г 0,
+ -5-Х
47
2
L
1
"
1
" 9,3-10-» ^ 8
w 0, И
2
— 0,07' Т
X (9,3.10-')» J = l,42-10— д;
kT р
6
Ьш Л i
2/
^э \
:
^_
(Ь
+
1)'
V
1
+
/-б
эф
ф
J
305
~ 7
р
2
0,026.1,5-0,22-3,14-5-Ю-з / 0,07
/ 0,07 \
^+JJ^0^)=^2-\0-^a;
47
2
Лю^'м» = 1.41 .мод
/
эо
= /
э08
= 0,52 дь 0,5 мка.
Ток генерации в запорном слое коллектора
Щ 2,5.10
13
^r
g
= —^-2^-Л
к
= -1,6.10-19.2,8-10-^~ТТо
г
"б-
9
'
5
-
10
"' =
= 0,18-10-» а=0,18 мка;
/
гл
0,18
-^---рр^О.И.
7
КО ' ' '
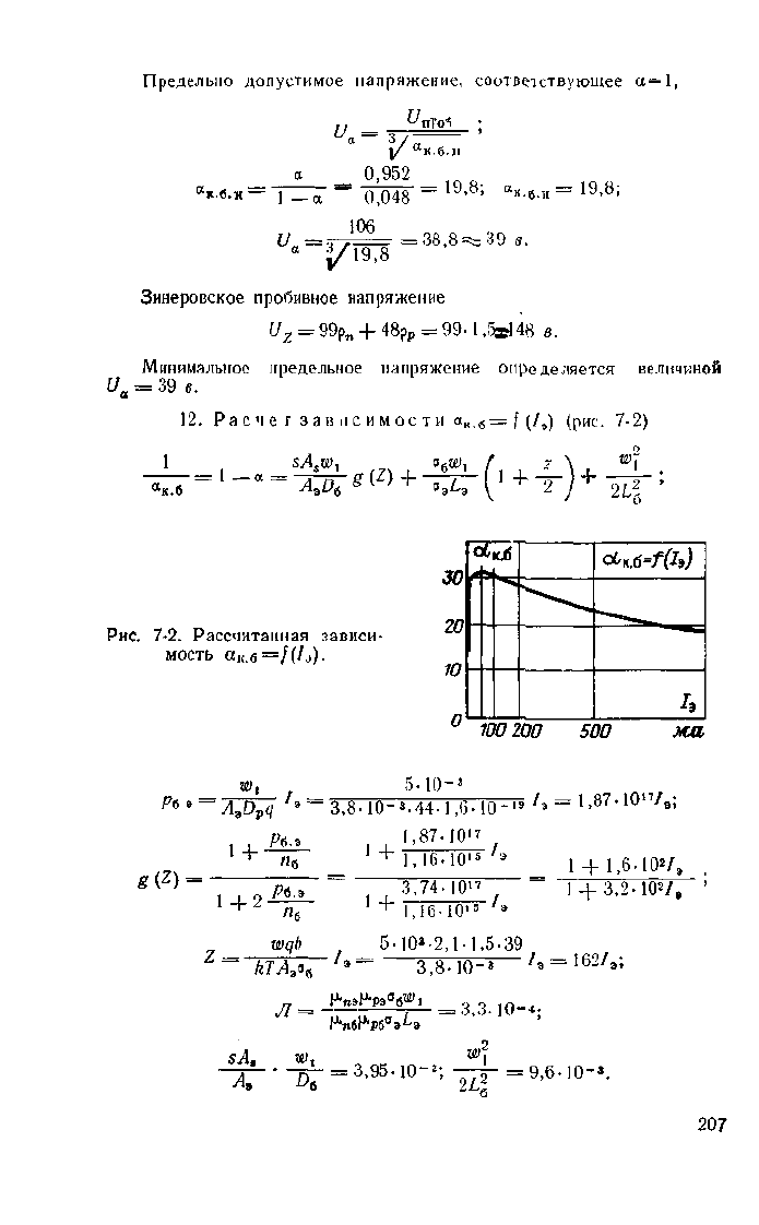
11.
Определение пробивных напряжений
Напряжение лавинного пробоя
£/н1>об~Ю6 а (см. п 1,в)
Напряжение прокола
2
И)
мин
^«Р»«-
2
£е
„у.
бРб
Для сплавных транзисторов малой мощности вследствие нерав-
номерного фронта вплавления
aii 5-10-' _
(-!-•">-')
^ПРОК
- 2-10.8,86-10-'*.3 600-1,5 —
182
"•
206