131
где d
0
и d – начальный и текущий диаметры капли топлива, м;
K – опытный коэффициент, зависящий от температуры среды,
концентрации кислорода и режима обтекания капли потоком
газа, мм
2
/с.
При температуре горения, равной 1070…1170 К, τ = 1 м/с, для мазута и
солярового масла К = 1…1,2 мм
2
/с.
При очень малых размерах капель и высоких скоростях обтекания воз-
можны режимы, при которых пары топлива выносятся в потоке газов и сго-
рают там по законам газовых смесей. Для обеспечения необходимой интен-
сивности испарения жидких топлив и их перемешивания с окислителем при
вводе в зону горения они распыляются в
потоке мелких капель размерами от
0 до 0,15-0,2 мм. При этом достигается большая удельная поверхность испа-
рения, а затем и горения.
Мелкие капли топлива быстро испаряются и создают газовоздушную
смесь, которая, воспламеняясь, образует горящий факел. Область распро-
странения факела условно делится на следующие зоны: распыления топлива,
его испарения и образования газо-
воздушной смеси, воспламенения и горе-
ния этой смеси. Как по сечению топливно-воздушной струи, так и по ее дли-
не в процессе горения непрерывно изменяются и температура, и концентра-
ция топлива и окислителя. При этом возможно образование локальных зон, в
которых концентрация топлива будет выше теоретически необходимой. Не
допустить образования таких
зон – значит, обеспечить высокую полноту вы-
горания жидкого топлива. При сжигании мазута для испарения его наиболее
тяжелых фракций с температурой кипения 700 К и выше требуется нагрев
капель до таких температур, при которых происходит деструкция топлива с
образованием твердых фаз сажи и кокса, которые выгорают так же, как час-
тицы твердого
топлива, но имеют меньшую активность по отношению к ки-
слороду воздуха. Раскаленные частицы сажи и кокса в пламени обуславли-
вают светимость факела. Газообразные и твердые продукты разложения ма-
зута, выделяющиеся в зоне, в которой концентрация кислорода уже невелика,
образуют зону догорания топлива, существенно увеличивающую общую
длину факела.
3.14. Твердое топливо [33, 49]
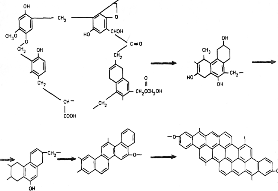
Ископаемое природное топливо различается по химическому составу.
Ископаемое твердое топливо образовалось преимущественно из высокоорга-
низованных растений и простейших водных микрорастений, водорослей типа
альг. Высокоорганизованные растения состоят из целлюлозы гемицеллюло 3,
лигнина, смол, восков, белков и др. веществ. Воски являются смесью высо-
комолекулярных кислот с эфирами этих кислот и высокомолекулярных спир-
тов
. Лигнин представляет собой не гидролизующее вещество коллоидного
характера, нерастворимое в воде и органических растворителях. Лигнин есть
продукт полимеризации состава (С
10
Н
12
О
4
)
n
, содержащий одну метоксильную