124 Chapter 2. Interaction of Radiation with Matter
In terms of quantum electrodynamics, as with Moeller scattering, Bhabha scatter-
ing is also considered to be due to exchange of virtual photons between the electron
and the positron. Classically, it can be thought to occur because of the Coulomb
attraction between the two particles.
A.4 Electron-Positron Annihilation
The process of electron-positron annihilation has already been explained earlier in
the chapter. In this process an electron and a positron annihilate each other and
produce at least two photons. It is a perfect example of the notion that mass can
be converted into energy.
We saw earlier that during this process, to conserve energy and momentum,
at least two photons, each having 511 keV , are produced. However more than
two electrons can be and in fact are produced. The cross section for this process
at low electron energies in a material is not very high and decreases to almost
zero at high energies. This low cross section is due to the very low abundance of
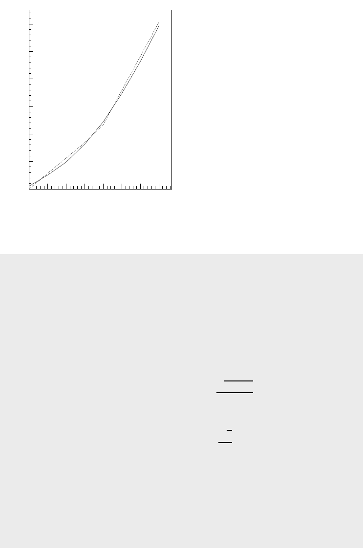
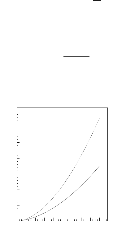
positrons in materials. Fig.2.5.1 shows this behavior for electrons of energy from
1 MeV to 100 MeV. Due to its lower cross section, this process does not contribute
significantly to the total energy loss specially at moderate to high energies.
A point that is worth mentioning here is that the electron-positron annihilation
process can also produce particles other than photons provided their center-of-mass
energy before collision is high enough. For example, at very high energies (several
GeV ), the annihilation process produces quarks, which form mesons. Since discus-
sion of such interactions is out of the scope of this book, the interested reader is
referred to standard texts of particle physics and high energy physics.
A.5 Bremsstrahlung
We saw earlier in the chapter that the process of Bremsstrahlung refers to the
emission of radiation when a charged particle accelerates in a material. For electrons
we came up with a critical or cut-off wavelength below which no Bremsstrahlung
photons can be emitted. This wavelength is given by
λ
min
=
hc
eV
,
where V is the potential experienced by the electron. For high Z materials, the
process of Bremsstrahlung dominates other types of interactions above about 10
MeV .
As can be seen from Fig.2.5.1, the Bremsstrahlung process is the dominant mode
through which the moderate to high energy electrons loose energy in high Z mate-
rials.
Example:
In an x-ray machine, electrons are accelerated through a potential of 40 kV .
Compute the cut-off wavelength and energy of the emitted photons.