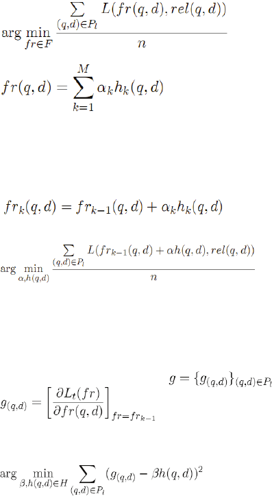
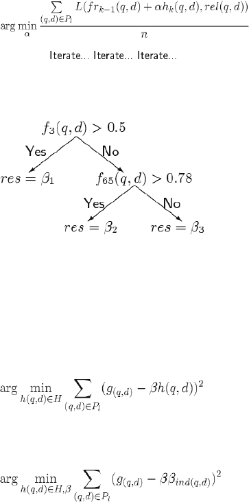
34
«Белая» оптимизация (естественная оптимизация) – до сих пор
среди SEO-оптимизаторов идут горячие споры по поводу того, суще-
ствует ли вообще «белая» раскрутка. Ведь по сути любое влияние
на позицию в поисковых системах является нарушением естественной
работы поисковика, а значит, уже не может считаться естественным.
В идеальном смысле белая оптимизация – это полезная деятельность
владе
льцев сайта, благодаря которой об их сайте пишут другие. В бо-
лее распространенном смысле под «белой» оптимизацией понимается
комплекс мероприятий по увеличению отдачи от сайта без примене-
ния «черных» способов: спам, накрутка баннерных показов и т.д. Та-
ким образом, под «белой» оптимизацией подразумевается совершен-
ствование юзабилити и контента ресурса, анали
з запросов и поведе-
ния потребителей, поиск сайтов родственной тематики для создания
с ними партнерских отношений.
«Черная» оптимизация – поисковая оптимизация с применением
недобросовестных методов продвижения, помимо методов «белой»
оптимизации. Самым распространенным инструментом «черной» рас-
крутки ресурса является использование дорвеев. Дорвей (от англ.
doorway – входная дверь) – страница или целый сайт, созданный часто
автомати
чески и оптимизированный специально под определенные
поисковые запросы. Для пользователей дорвеи не интересны, так как
информация, расположенная на них, представляет собой бессмыслен-
ный и хаотичный набор слов и фраз. Но именно повышенная плот-
ность ключевых слов позволяет дорвеям высоко подниматься в рей-
тингах поисковых систем, а затем автоматически переадресовывать
зашедших пользова
телей на настоящий сайт, который раскручивается.
Кроме дорвеев, в «черной» оптимизации активно используется клоа-
кинг (от англ. cloak – маска, прикрытие). При нем информация на од-
ной и той же странице делится на ту, которая выдается пользователю,
и ту, которая выдается поисковому роботу. Разумеется, что две этих
информации отличаются друг от друга. Необходимость в кл
оакинге
может возникать, если интересная пользователям и удобно оформлен-
ная страница плохо индексируется поисковым роботом. Тогда встает
потребность в создании второго варианта страницы, менее привлека-
тельного для пользователей, но специально «заточенного» под требо-
вания поисковика.
«Серая» оптимизация – это нечто среднее между «белой» и «чер-
ной». Официально такая оптимизация не запреще
на, однако ее ис-
пользование может быть расценено поисковой системой как неестест-
венное завышение рейтинга ресурса. А это часто приводит к штраф-
ным санкциям по отношению к сайту (например, к его временной
блокировке). К инструментам «серой» раскрутки можно отнести за-
вышение плотности ключевых слов, ведущее к ущербу читабельности
текста, создание чересчур длинных заголовков и очень больших URL
страниц и т.д.