
'4
vg
S
CU
§
'•о
о
кпд,
Максимальная
частота
Номинальная
частота
вра-
Номи-
Тип
электро-
о
4
вращения
ослаблением
щения,
об/мин,
при
номи-
нальная
двигателя
поля,
об/мин,
при
номи-
нальном
напряжении,
В
1
нальном
напряжении,
В
440
340
220
о
440
340
220
о
1—<
ность,
кВт
"1 ^
"~i-
"^
с
-^
^—i.
,г
\
""1.
*Т
**~l.
^-i,
""!,
*—2.
<—>^
<—'„
"\ *^\ ^
"~1.
xr
\ "^ ^^ ^ "\
*—'„ *->
'-i.
<
-L
<
-
3
oo"
—-"
ir^
с-?
ос"
r-^ о" ^ ю"
чо^
o\ c-i
v^T
cxf
oo~
чо"
o~ \^ \o r--"
oo"
of '/"f
oo~
oC
m" o\ c-T t~-^
r^oococxDC>or^--oooocooor--oQoouc&oc^ooc)Ooooor--aooQoouor^-r^-oooo
ooooooooooooooooooooooooooooo
v-iOi^OOW-iO^lOO'^nOi^iOOi^lOtOOOV-iO^noOlOOinO
oov-)i-.oooou-ic^oooov-ir~-oooo>/")t~«©©oow-it^oooo<nt~©
ooooooooooooooooooooooooooooo
OOM-iOOO>OV-iOOOOv->OOOOViOOOO>nOOOOW-iO
ov>i>ooo>or-ooo>rit^ooomr--ooou-it>oooior-o
NMrn4-4'tSNc
r
l't^'N(Nrit^NMn'**(SNn^'*NNni-
ooooooooooooooooooooooooooooo
ooooooooooooooooooooooooooooo
«-ioooo«-ioooo<noooomoooo>ooooowiotNo
о о о о о о о о о о
ооооооооо
ооо
оо , ,
,оооо ,оооо .ооооооооо
, «-> о о ,
оо ' '
'оооо 'оооо 'ооооооооо 'hots
'
n t сч "3- "сг •* m •* -q- -ч- т^ч-^-Ч-сп^-** го
•<*•
•Ч-
f
-,oooo
e
-,o'ooo
r
,o-ooo
<
-
)
oooo
<
-
)
oooo
(
-.ooo
S>0040>oStNOOoS400TrOX<NOOoSoOCNoSoOrr
So«m-2HiONoSo«lNOS
rt
1NOSom-'OK04)N
SoovooS'oo^-w-ieoo^oxoo^DxnSooTj-u-ihs^oocN
^OKlcnoSoinNHOOKimogovirflHSoi^
-
^
010
"
r
^-i-iNm
M
Hrtr4tO
,IO
'"-Mn
M
~H(4n^H^(NI»l^HrtN
,_0000
t
-,0000,-,
0©00.-,00©0_0000.~,000
SoO^><oSo0tN0S4iO'4-mSoOT|-0goO4D0S0O'4-
w
«-Nn^rHrf(4
n
w
«-CS(n^-4(Sn^«^Dm^rt-cs
o§ , ,
ogooooo ooogoogg
, ggg
о n
°.°.°.«
m N o^ m м (л in rt
vrr|q
o^ v\ r^ q_ ^ °~ °-.
<N
О__
«Л
°„
**" \o n i2
JN
^ ^
•*"
ю
*
^ ^ ^ "^
f
-" °° °* ^ ^ °° °^ ^ "*"
"~^
2 2 •*"
*o"
t-^ 2
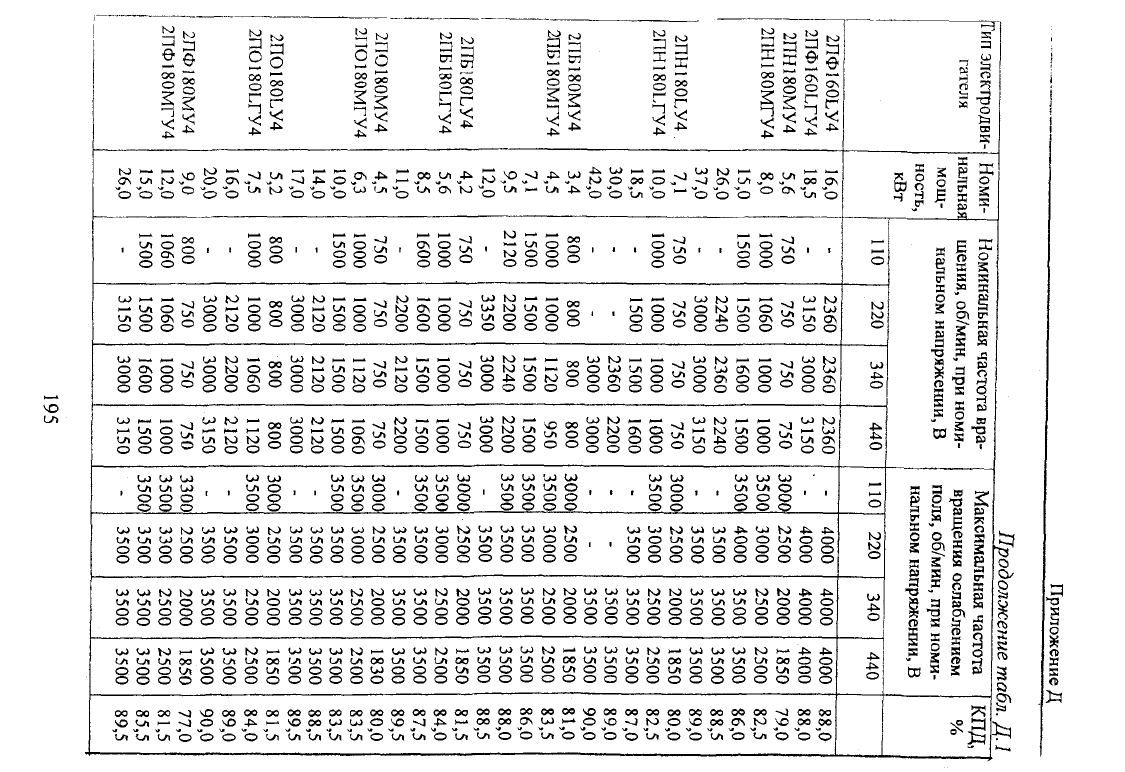
2ПН160ЬУ4
2ПН160ЫУ4
2ПБ160МУ4
2ПБ160МГУ4
2ПБ160ЬУ4
2ПБ160ЬГУ4
2ПО160МУ4
2ПО160МГУ4
2ПО160ЬУ4
2ПО160ЫУ4
2ПФ160МУ4
2ПФ160МГУ4
<=
i. '"i*
**"^
%Г
\
об"
чсГ о* ^
CO t
4
- ОО ОО
оооо
О VI О «О
О ОО кп 1~-
оооо
о о о »о
О О >Л1 Г~
•Ч-
гч CN m
оооо
оооо
О ч~1 О (Ч
* N П ^f
ООО
V-) о О
Г^ О (N
т •&
*т
о
0
о о
>о о vo о
п»2!2
о
0
о о
3150
800
1000
1500
750
1120
1500
°.\оо°.
i2
"">"
оо
"
2ПФ160ЬУ4
2ПФ160ЬГУ4