
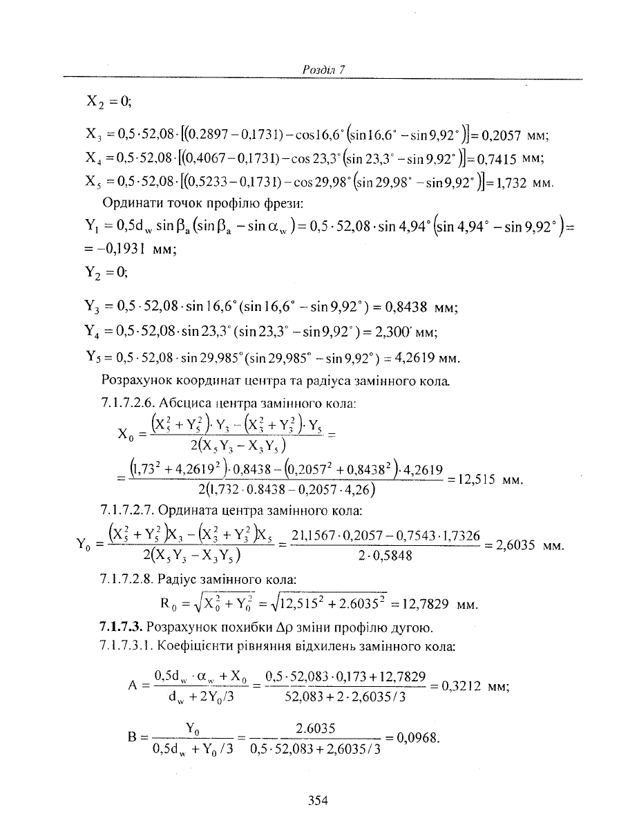
Фрезтс шш !цьов! пр;;лтоб [ н н !
7.1 .1 .з.2.
(ут:,:.
шо
в!дпов!дають найб!льгшим в'дхиленням:
0'':
=
А
+1я' +
в'
=
0,3212*.!*212\ 0,0%в'
=
0,6567о
=
0,01 15
рад;
0,'2
=
А
-
д'
+ вт
=
0,3212
-.!ф?п\
0.0э6в'?
=
*0,0
1 4з0
=
-2,5.
1 0-{
рал.
7.1
'7.з.з.
Абсциср:
точок,
що
в|дпов1дають найб!льшим в;дхиленням;
х'',
=0,5.52,0взк0,0115-0,173)-соз0,65с;'(з;п
0,6567"
_з1п9,920)=_0,0228
мм'
[,.7
=
0'5.52,0в3(_ 2,5.10-4
_0,173)_соз(_0,0143')('!"(_0.0143")_з|п9,я:0)=
=
-0,0225
мм.
7.1 .7 .з.4.
ФрАигтати
то|!ок'
що
в!дпов|даготь найб1льгшим в|дхи.г|енням:
},,:
=
0,5'52,0835'з1п0.6567"'
(';'о.оэот"
-з|п9,92")=
_0.048
мм;
}'':
=0,5.52.08з5.з;,(_о.о;+з")
(.'"[0.0143')-з;п9,92')=;от::1.10_3
мм.
7 .1 .1 .з.5. Ёайб1льгше в|дхилення
точок зам!нного кола
в!д
теоретинно| криво::
лр,
=@_&,=
_
-
12'7829
=
0,0322 мм;
.,,=@-&о=
_
*12'7829
=
0,0218 мм.
1.|.7.з.6.
€умарне зна!!ення в!дхталет-гня:
Ар
=]Ар,!
*!др.!
=0,0322+0'0218
=
0,054 мм.
7 .1.7.з.'7 .
!опуст:аме
значення в!дхр:лень
[ьр1=%т':
?
о.озс,
=
0'024 мм;
Ар
=
0,054
'*
>
[А1; !,=
().()24
ьпм.
7 .1.7
.4. Б изна.ленг:я патраме:'р! в л г
рос|:
! т: го с|л1-тс'з: :.
7.1 .7.4.|. Ёормальний крок врп'гк!в (лрези:
Р
^
='6*'
_
3'14'52'083
=20,44277
ммт.
п0_
7 8
7 .1 .7 .4.2. ?овщ:ана
зубця
фрези
по- норь.1сшьн1Ёт прям1й:
5= а-[1-
.-
]=52,0в][+-0'!73:)=
т :.+:+;
"".
'[: ")
\8 )
7.1 .7.4.з. 1овщина
зубця
для
третьо[ та четверто|
розрахункових
точок
проф!лю
зубця
фрези:
5з
=5_2*'-11,427_2'0,2057
=
|1,0!56 мм;
5+
=
$
_2х'
=11,427
-2'0,7415
=9,944мм.
355