
calcium carbonate). The anions (e.g., such as nitrate and Br
−
), which are
weakly adsorbed on positively charged sites, are known as nonreactive solutes. The
transport of reactive and nonreactive solutes through soil is affected relative to the
movement of water (Nielsen et al., 1986).
Some solutes are already present in the water-filled pore space of the soil. These
solutes may be present in the soil owing to: (i) mineralization of organic matter, (ii) saline
groundwater intrusion, (iii) fertilizer and/or pesticide application, (iv) atmospheric
deposition, and (v) weathering of mineral. When solute-free water flows through the soil
matrix, the concentration of these preexisting solutes is the highest in those pores
experiencing the lowest water flux. Apart from the preexisting, solutes are also applied
on soil surface (e.g., fertilizer, pesticides, etc.). Basically solute transport within a soil
matrix occurs by two physical processes: diffusion and convective flow. Several simple
and complicated mathematical models have been developed in the past, which can
reproduce the experimental results very well. Most of these models are developed for the
macroscopic scale (Nielsen et al., 1986), although pore scale description is available (e.g.,
Navier–Stokes equation). This chapter describes the transport mechanisms in more detail
and discusses the transport models on a macroscopic scale.
16.2 SOLUTE TRANSPORT PROCESS
The movement of solutes inside the soil matrix is caused by “mass flow” or
“convection.” This type of flow is also called Darcian flow (see Chapter 12). The
velocity at which solutes travel through soil matrix is generally known as “pore water
velocity” and is the ratio of volumetric flow of solute through a unit cross-sectional area
and volumetric moisture content of the soil matrix. In other words, the pore water
velocity is the ratio of Darcian velocity and moisture content. In general, pore water
velocity accounts for the straight-line length of path traversed in the soil in a given time.
In reality, the flow paths are not always straight but are irregular or tortuous. This
property is known as “tortuosity” of soil pores. Solutes do not always flow with water but
sometimes go ahead of it due to the twin process of diffusion and dispersion or exclusion,
lag behind due to adsorption or retardation, or get precipitated or volatilized. The
movement of solute from the higher concentration to the lower concentration gradient is
also known as the process of “diffusion.” This process commonly occurs within gaseous
and liquid phases in the soil matrix due to the random thermal motion, also called
“Brownian movement.” There is another simultaneous process that tries to mix and
eventually even out the concentration gradients known as “hydrodynamic dispersion.”
Diffusion is an active process, whereas dispersion is a passive process. However, in most
practical applications these two solute transport processes are considered additive.
Some chemicals, which are soluble in water and have a nonnegligible vapor phase, can
exist in three different phases in a soil matrix: as a dissolved solute in soil water, as a gas
in soil air, and as an ion absorbed on the soil organic matter or charged clay mineral
surfaces. Therefore, all solute concentration terms are not equal in dimensions and
depend on the concentration in these soil phases and the partitioning of these phases. The
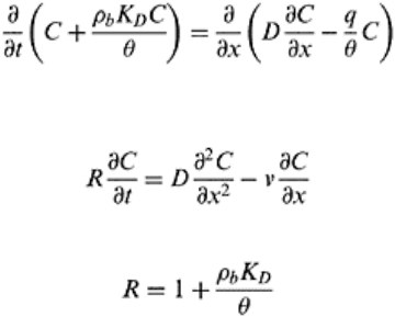
total solute resident concentration (C, g cm
−3
) in a soil matrix can be mathematically
expressed as
Principles of soil physics 434