
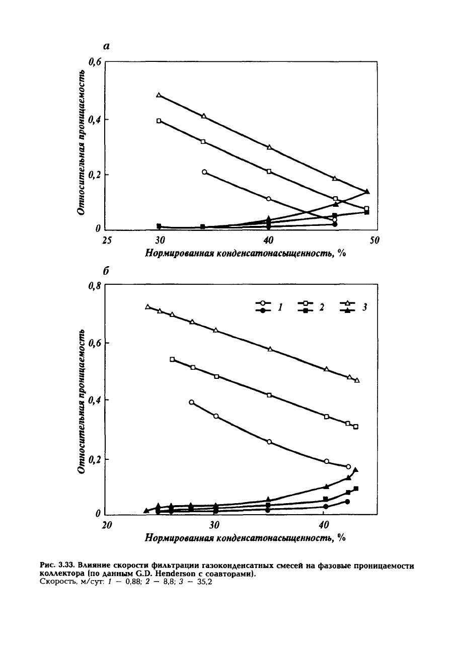
3.3.6
Влияние динамических параметров
на
процесс фильтрации газоконденсатных смесей
К
числу наиболее важных динамических параметров, определяющих про-
цесс фильтрации газоконденсатных смесей в призабойной зоне пласта,
следует
отнести скорость фильтрации и темп изменения давления. Наибо-
лее существенным фактором, влияющим на механизм накопления конден-
сата, безусловно, является скорость фильтрации. Прежде всего, высокие
скорости фильтрации, характерные для условий призабойной зоны, вызы-
вают
существенную неравновесность массообменных процессов. Во-
вторых,
скорость фильтрации влияет на характер распределения фаз в по-
ристой среде, что выражается в зависимости относительных фазовых про-
ницаемостей от скорости. И, наконец, с возрастанием скорости фильтра-
ции
увеличиваются инерционные сопротивления.
При
фильтрации газоконденсатных смесей в пористых
средах
нерав-
новесность массообменных процессов может возникать из-за влияния на
эти
процессы самой пористой среды, а также за
счет
относительного дви-
жения фаз. Некоторые исследователи вводят понятия неравновесности об-
менных процессов 1-го рода, возникающих за
счет
влияния пористой сре-
ды, и 2-го рода, обусловленных движением фаз. Подавляющее большинст-
во исследований, выполненных к настоящему времени, касаются неравно-
весности обменных процессов первого рода. В частности, широко иссле-
довалось влияние пористой среды на фазовые переходы и неравновесность
процесса конденсации и испарения. При этом использовались два основ-
ных
подхода
к изучению этой проблемы. Один из них состоит в
учете
влияния
капиллярных сил на парожидкостное равновесие углеводородной
смеси. Второй
подход
основан на изучении влияния процессов адсорбции и
десорбции отдельных
углеводородных
компонентов на фазовое поведение
многокомпонентных
углеводородных
смесей. В числе основных работ,
развивающих первое из указанных направлений исследований, можно на-
звать экспериментальные и теоретические исследования, проведенные
Ф.А. Требиным и Г.И. Задорой, А.И. Ширковским, Ю.В. Желтовым и
В.В. Латоновым, А.Ю. Намиотом, Э.С. Садых-Заде, Ю.Г. Мамедовым и
Н.М.
Рафибейли, А.И. Брусиловским, В.Е. Мискевич, C.W.
Oxford
и
R. Huntington, P.M. Sigmund, P.M. Dranchuk и N.R. Morow, C.F.
Weinaug
и
J.C.
Cordell, K.S. Udell.
Второе
направление развивалось С.Н. Бузиновым,
А.С. Великовским, А.И. Гриценко, З.И. Козловцевой, А.Х. Мирзаджанзаде,
В.А. Николаевым, М.А. Пешкиным, P.M. Тер-Саркисовым, В.В. Юшкиным,
C.R. Clark.
В
результате
этих исследований было установлено незначительное вли-
яние
пористой среды на степень неравновесности процесса ретроградной
конденсации в статических условиях и несколько более значительное влия-
ние
пористой среды на неравновесность процессов испарения. Однако эти
выводы справедливы лишь, если фазы в пористой
среде
хорошо переме-
шаны.
В противном
случае
пористая среда может существенно изменить
структуру
распределения фаз в порах и тем самым повысить неравновес-
ность массообмена.
Значительный объем исследований был осуществлен по определению
302