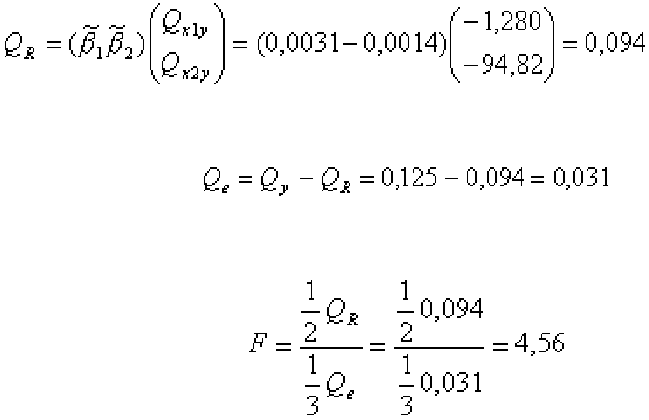
94
ЛИНЕЙН (для расчета множественной линейной регрессии),
ТЕНДЕНЦИЯ (для прогноза по множественной линейной регрессии),
ПРЕДСКАЗ (для прогноза по парной линейной регрессии),
ЛГРФПРИБЛ (для расчета экспоненциальной регрессии
k
x
k
x
x
y
ββββ
...
2
1
210
=
,
часто используемой в экономико-статистических расчетах, в частности, при
анализе динамики различных явлений),
РОСТ (для прогноза по экспоненциальной регрессии) и другие.
Во-вторых, для построения парных регрессий можно использовать
инструмент Линия тренда, позволяющий построить линейную и несколько
видов нелинейной регрессии: рассчитать уравнение, коэффициент детерми-
нации, построить графики, дать прогноз.
Наконец, для проведения регрессионного анализа удобен (особенно для
множественной линейной регрессии) инструмент Регрессия из пакета Анализ
данных.
Вначале рассмотрим технологию применения этого инструмента при
проведении парного линейного регрессионного анализа.
Построим зависимость предела прочности прессованной детали от
температуры при прессовании (см. пример 5.1).
Введите значения х и у в два столбца электронной таблицы и откройте
окно Регрессия (рис. 5.2). При заполнении полей этого окна имеется
возможность установить (при необходимости) константу
β
0
, равную нулю,
изменить уровень значимости (по умолчанию уровень надежности 0,95
соответствует уровню значимости 0,05). При необходимости рассчитываются
остатки или стандартизированные остатки. Могут быть выведены графики
остатков, нормальной вероятности и график подбора: диаграмма рассеяния с
нанесенной на нее расчетной линией регрессии.
Поставьте флажки для вывода остатков (при этом одновременно будут
найдены и прогнозируемые значения отклика) и построения графика подбора.