225
Максимуми на періодограмі активності СДГ припадають на
частоти 0,1; 0,15; 0,2; 0,3; 0,35 хв
-1
, перші дві з яких відповідають
періодам 50 та 33 хв, а інші частоти є їм кратними. Достовірність
цих спектральних піків становить P<0,95. Разом з тим потужність
коливань 35-хвилинного періоду майже у три рази менша за
потужність 50-хвилинних коливань. Одержані результати видно на
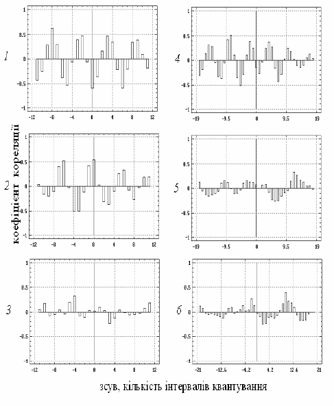
автокорелограмі цього показника (рис. 5.3 (7)), форма якої має
слабко виражений коливний характер, але на ній можна
простежити появу максимальних значень коефіцієнтів
автокореляції за однаковим зсувом, рівним 50 хв.
На періодограмі активності ЛДГ (рис. 5.3 (3)) виявлено
достовірні спектральні піки на частотах, що відповідають періодам
50, 33 та 20 хв. Якщо оцінити співвідношення потужності коливань
виявлених максимумів на спектрах, то вона відповідно для
50-хвилинної компоненти є більшою майже у два рази від
20-хвилинної та приблизно у п’ять разів від 33-хвилинної спект-
ральної компоненти. Це може свідчити про те, що домінуючими у
динаміці активності ЛДГ є коливання з періодами 50 та 20 хв.
Неперіодичний характер динаміки цього показника також
засвідчує форма розрахованої автокорелограми активності ЛДГ
(рис. 5.3 (8)). Як видно з рис. 5.3, спектр потужності ШПК (4),
складається з чотирьох спектральних піків, два з яких є досто-
вірними та відповідають періодам, які становлять 39 і 27 хв, і май-
же рівноцінні за потужністю.
Аналіз спектра потужності та автокорелограми серотоніну
не виявив періодичного характеру змін цього показника. Про це
свідчить значна ширина піка на його періодограмі та швидке