
Державна фінансова політика економічного розвитку
262
ної політики, неадекватне обсягам фіскальної експансії уряду. Разом із
тим за період 2005–2008 рр. складно розділити зовнішні і внутрішні чин-
ники кредитної експансії.
Останнім важливим параметром, який ми розглянемо щодо впливу фіс-
кальної політики на фінансову стабільність, є темпи зростання обсягів за-
ощаджень, акумульованих банківською системою. Як уже зазначалось,
одним із напрямів
впливу фіскальної політики на результативність монетар-
ної політики є дискримінаційний вплив жорстких фіскальних заходів (напри-
клад: скасування інвестиційних пільг у 2005 р. на інвестиційні ресурси бан-
ківської системи (за нашою класифікацією це – другий канал впливу фіскаль-
ної політики на монетарні індикатори у зв’язку із зростанням державних
витрат за збалансованого бюджету).
Зростання державних витрат може впливати на монетарні агрегати вна-
слідок скорочення наявних доходів суб’єктів господарювання. Порівняно
вищі обсяги державних витрат, які фінансуються за рахунок податкових
надходжень, зменшують обсяги приватних заощаджень. Відповідно темпи
зростання грошової маси можуть відставати від запланованих у разі не-
узгодженості фіскальної та монетарної політик щодо рівня перерозподілу
ВВП через бюджет широкого уряду. Це певною мірою послаблює монетар-
ний тиск на загальний рівень цін і знижує рівень ділової активності і темпи
економічного зростання.
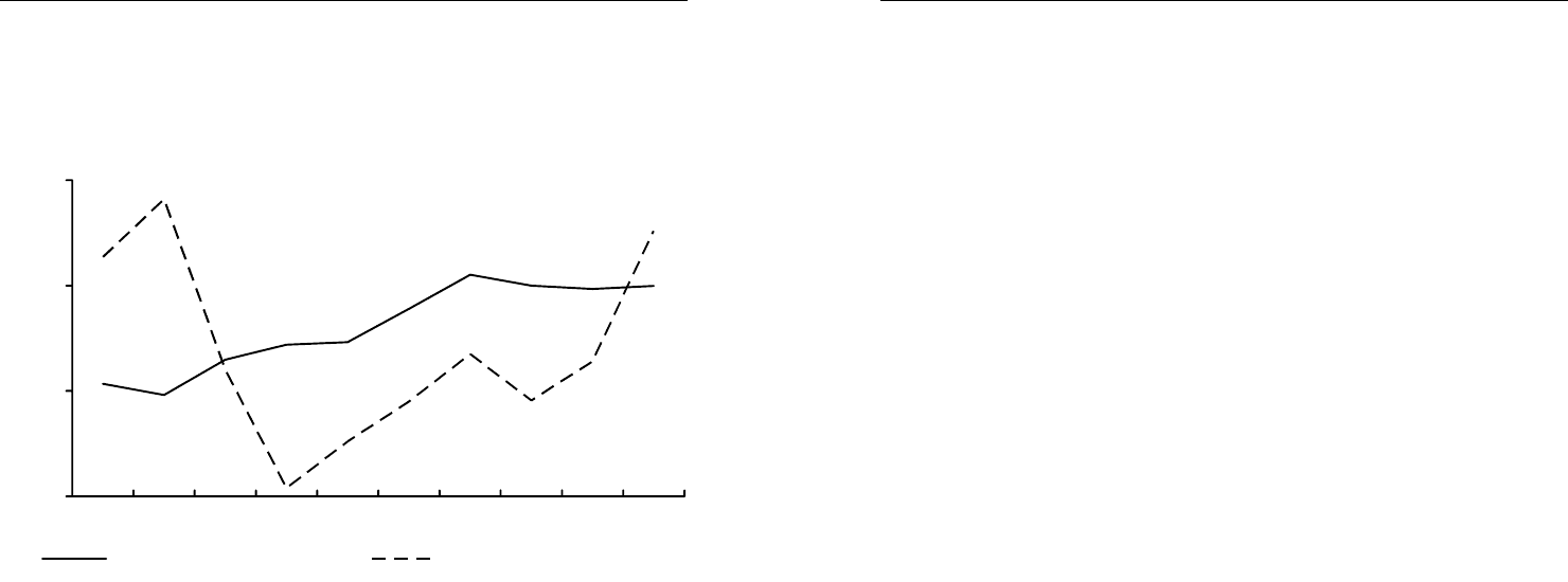
Встановлено, що максимальні темпи зростання грошової маси в Україні
мали місце в 2001–2003 рр. (від 35 до 43% на рік), при цьому темпи наро-
щування державних витрат були
помірними (від 7 до 15% на рік у номіна-
льному обчисленні). Дестабілізуючий вплив на динаміку приросту монетар-
них агрегатів справило значне нарощування обсягів державних витрат
у 2004 р. – на 32%, при цьому темпи приросту грошового агрегату М2 зни-
зились удвічі до 18% за рік з 36% у 2003 р. Таке різке скорочення було зу-
мовлене також впливом політичної
нестабільності 2004 р. Різке прискорен-
ня темпів зростання грошової маси в 2005 р. до 39% поряд із зростанням
державних витрат на 20% частково пояснюється відновленням довіри до
банківської системи та тимчасовою політичною стабілізацією.
Протягом 2001–2005 рр. темпи зростання грошової маси випереджали
темпи зростання внутрішнього кредиту, а значна частина випущених в обіг
грошей використовувалася для придбання
іноземної валюти та поповнення
резервів НБУ. Повільніші темпи зростання внутрішнього кредиту протягом
цього періоду пояснюються насамперед тим, що валютний курс застосовува-
Розділ 2. Фінансова система: її сутність і роль в економічному розвитку
95
мозв’язків і взаємозалежності у функціонуванні її окремих складових, що
ускладнює управління системою в цілому.
За визначенням О.Романенко, "фінансова система – це сукупність ві-
докремлених, але взаємопов'язаних між собою сфер фінансових відносин,
що мають особливості в мобілізації та використанні фінансових ресурсів,
відповідний апарат управління та правове забезпечення" [70, с. 21]. Визна-
чення
фінансової системи через поняття сфер фінансових відносин, яке не
є аналітичним поняттям першого порядку, потребує уточнень. Фінансова
система справді включає відносини фінансові, боргові, податкові та у сфері
корпоративних прав, проте її основа – не відносини, а заощадження інсти-
туційних одиниць, які є взаємопов’язаними між собою фінансовими відно-
синами. Системоутворюючими елементами
є не сфери (тип) фінансових
відносин, а інституційні сектори економіки.
Широке визначення фінансової системи пропонується В.Опаріним – це
"сукупність відносно відособлених взаємозв’язаних сфер і ланок, які відо-
бражають специфічні форми й методи фінансових відносин [77, с. 27–28].
В іншій роботі він пропонує включати до складу фінансової системи такі
складові: 1) інституції та
інститути, що функціонують у сфері ресурсного
забезпечення економіки; 2) суспільні інститути, що опосередковують розпо-
діл та перерозподіл ВВП [38, с. 76].
О.Василик визначав фінансову систему як "сукупність окремих її ланок,
що мають особливості в створенні та використанні фондів фінансових ре-
сурсів, які зосереджені в розпорядженні держави, нефінансового сектора
економіки, певних фінансових інституцій, домогосподарств
для фінансового
забезпечення економічних і соціальних потреб суспільства в цілому, окре-
мих верств населення, господарських структур, окремих громадян" [34,
с. 22]. По суті фонди фінансових ресурсів є синонімом поняття джерел
фінансування капіталу, які включають власний і позичковий капітал. Тому
можна погодитись із таким визначенням, оскільки воно має фундаменталь-
ну основу і дає
можливість застосовувати до фінансової системи єдиний
методологічний підхід. Визначаючи фінансову систему, доцільно застосо-
вувати аналітичні поняття фінансової науки першого порядку (доходи, капі-
тал, прибуток, борг), які є зрозумілими і можуть зазнавати кількісних пере-
творень та агрегування.
За визначенням Санкт-Петербурзької школи, фінансова система – це
сукупність різних сфер фінансових відносин, у
процесі яких створюються
і використовуються різноманітні грошові фонди, що поділяється на систе-