
II. Transducing and Storing Energy 19. The Light Reactions of Photosynthesis
19.2. Light Absorption by Chlorophyll Induces Electron Transfer
The trapping of light energy is the key to photosynthesis. The first event is the absorption of light by a photoreceptor
molecule. The principal photoreceptor in the chloroplasts of most green plants is chlorophyll a, a substituted tetrapyrrole
(Figure 19.5). The four nitrogen atoms of the pyrroles are coordinated to a magnesium ion. Unlike a porphyrin such as
heme, chlorophyll has a reduced pyrrole ring. Another distinctive feature of chlorophyll is the presence of phytol, a
highly hydrophobic 20-carbon alcohol, esterified to an acid side chain.
Chlorophylls are very effective photoreceptors because they contain networks of alternating single and double bonds.
Such compounds are called polyenes. They have very strong absorption bands in the visible region of the spectrum,
where the solar output reaching Earth also is maximal (Figure 19.6). The peak molar absorption coefficient (ε, Section
3.1) of chlorophyll a is higher than 10
5
M
-1
cm
-1
, among the highest observed for organic compounds.
What happens when light is absorbed by a molecule such as chlorophyll? The energy from the light excites an electron
from its ground energy level to an excited energy level (Figure 19.7). This high-energy electron can have several fates.
For most compounds that absorb light, the electron simply returns to the ground state and the absorbed energy is
converted into heat. However, if a suitable electron acceptor is nearby, the excited electron can move from the initial
molecule to the acceptor (Figure 19.8). This process results in the formation of a positive charge on the initial molecule
(due to the loss of an electron) and a negative charge on the acceptor and is, hence, referred to as photoinduced charge
separation. The site where the separational change occurs is called the reaction center. We shall see how the
photosynthetic apparatus is arranged to make photoinduced charge separation extremely efficient. The electron, extracted
from its initial site by absorption of light, can reduce other species to store the light energy in chemical forms.
19.2.1. Photosynthetic Bacteria and the Photosynthetic Reaction Centers of Green
Plants Have a Common Core
Photosynthesis in green plants is mediated by two kinds of membrane-bound, light-sensitive complexes
photosystem I
(PS I) and photosystem II (PS II). Photosystem I typically includes 13 polypeptide chains, more than 60 chlorophyll
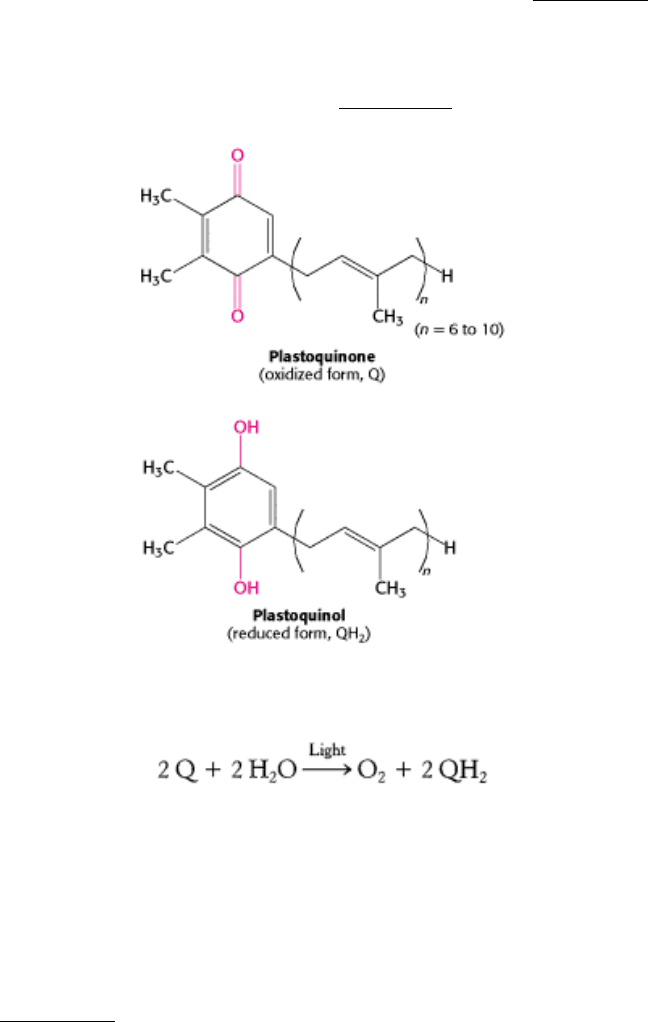
molecules, a quinone (vitamin K
1
), and three 4Fe-4S clusters. The total molecular mass is more than 800 kd.
Photosystem II is only slightly less complex with at least 10 polypeptide chains, more than 30 chlorophyll molecules, a
nonheme iron ion, and four manganese ions. Photosynthetic bacteria such as Rhodopseudomonas viridis contain a
simpler, single type of photosynthetic reaction center, the structure of which was revealed at atomic resolution. The
bacterial reaction center consists of four polypeptides: L (31 kd), M (36 kd), and H (28 kd) subunits and C, a c-type
cytochrome (Figure 19.9). The results of sequence comparisons and low-resolution structural studies of photosystems I
and II revealed that the bacterial reaction center is homologous to the more complex plant systems. Thus, we begin our
consideration of the mechanisms of the light reactions within the bacterial photosynthetic reaction center, with the
understanding that many of our observations will apply to the plant systems as well.
19.2.2. A Special Pair of Chlorophylls Initiates Charge Separation
The L and M subunits form the structural and functional core of the bacterial photosynthetic reaction center (see Figure
19.9). Each of these homologous subunits contains five transmembrane helices. The H subunit, which has only one
transmembrane helix, lies on the cytoplasmic side of the membrane. The cytochrome subunit, which contains four c-type
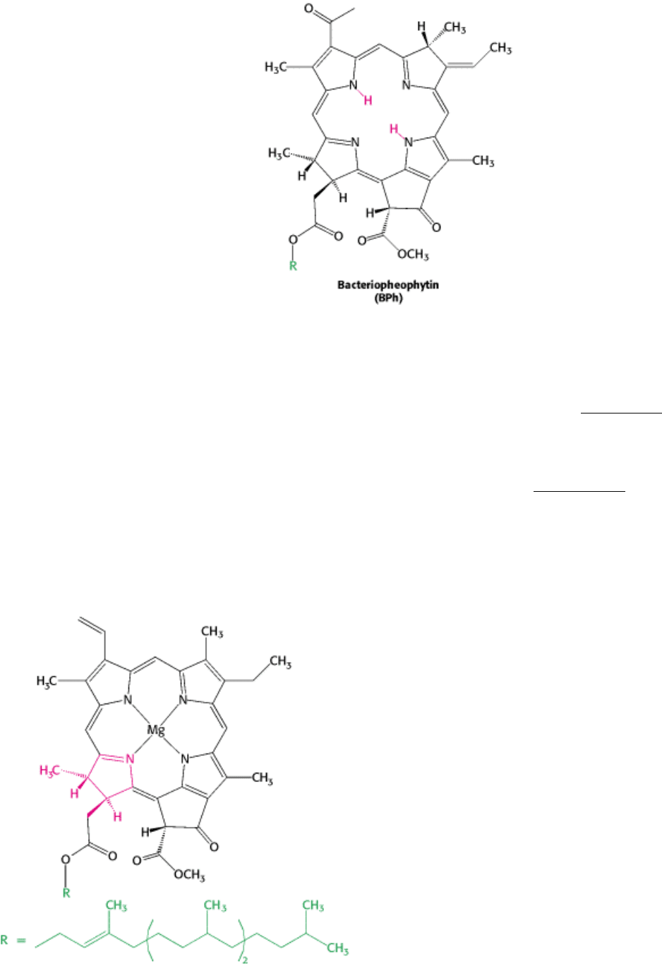
hemes, lies on the opposite periplasmic side. Four bacteriochlorophyll b (BChl-b) molecules, two bacteriopheophytin b
(BPh) molecules, two quinones (Q
A
and Q
B
), and a ferrous ion are associated with the L and M subunits.