
17.4 ОПТИЧЕСКИ АКТИВНЫЕ КРАСКООБРАЗУЮЩИЕ
КОМПОНЕНТЫ
Мы знаем, что весьма удобным нецифровым методом цветокоррекции является
маскирование, реализованное за счет оптически активных краскообразующих компо
нент (см. раздел 15.4). Компоненту можно окрасить путем добавки к ее химической
структуре т.н. хромофорной группы. Маскирование в этом случае реализуется при ус
ловии, что спектральный коэффициент поглощения компоненты пропорционален
концентрации этой компоненты, то есть доле неизрасходованного куплера в изображе
нии (de Ramaix, 1971).
17.4.1 Добавка хромофорной группы после проявления
Одним из способов синтеза оптически активных краскообразующих компонент яв
ляется добавка хромофорной группы, осуществляемая после проявления. К примеру,
если несвязанная magentaобразующая компонента (без вреда для magentaизображе
ния) превращается в желтый краситель, то желтое позитивное изображение, образо
ванное неиспользованным magentaкуплером, может эффективно отмаскировать не
гативное magentaизображение.
Примером реализации данного принципа является процесс Icicolor: magentaобра
зующая стирилпиразолоновая компонента, нагретая с ароматическим альдегидом до
полива на подложку, смешивается с желтым стириловым красителем и альдегидбис
пиразолоном. При цветном проявлении желтый краситель полностью разрушается
(причем независимо от присутствия галогенида серебра, активированного экспони
рующим светом), и окисленное проявляющее вещество, сочетаясь с куплером, на экс
понированных участках кадра образует magentaкраситель (что и требуется). Однако
дальнейшее взаимодействие с формальдегидом ресинтезирует желтый краситель в тех
областях кадра, в которых краскообразующая компонента не была задействована
(в результате чего и происходит требуемое маскирование).
Аналогичным путем, но уже за счет присутствия формальдегида в стопванне (сле
дующей за цветным проявителем), в cyanслое образуется розовая маска. Одновремен
ное присутствие формальдегида и цветного проявляющего вещества (последнее авто
матически переносится вместе с пленкой в стопванну) приводит к тому, что
cyanкуплер образует некое промежуточное соединение, которое в кислой отбеливаю
щей ванне превращается в требуемую розовую маску (Gehret, 1964; Ganguin и
MacDonald, 1966).
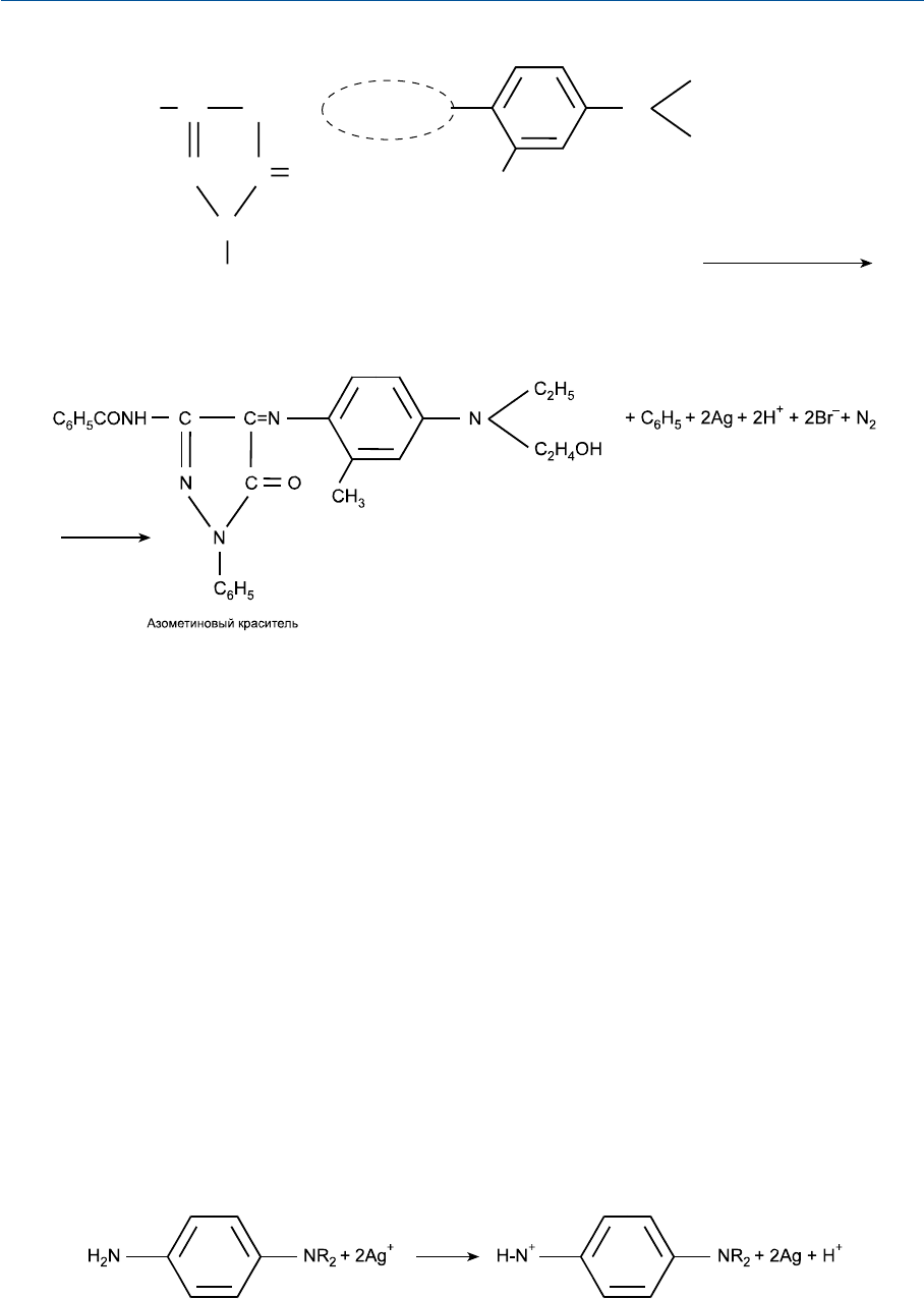
17.4.2 Добавка хромофорной группы до проявления
Еще одним способом маскирования с помощью оптически активных краскообразую
щих компонент является добавка к химической структуре куплера хромофорной груп
пы, выполняемая до проявления фотоматериала, а также такая организация реакции
сочетания краскообразующей компоненты с цветным проявляющим веществом, что
в результате образования красителя куплер теряет свою исходную окраску (которая ос
тается лишь в тех местах кадра, где присутствует неизрасходованная краскообразую
щая компонента). Сказанное реализуется за счет добавки хромофорной группы в актив
ную позицию куплера, в результате чего цветное проявление представляет собой про
цесс замены этой группы на цветное проявляющее вещество, к примеру:
371
ГЛАВА 17 ХИМИЯ ЦВЕТНЫХ ФОТОМАТЕРИАЛОВ