
7.11 Compaction 445
the rate of sedimentation is greater than the hydraulic conductivity of the sediments)
then excess pore pressure will occur.
Sedimentary basins, such as the North Sea or the Gulf of Mexico, are typically
hundreds of kilometres in extent and several kilometres deep. It is thus appropriate
to model the compacting system as one-dimensional. A typical sedimentation rate
is 10
−11
ms
−1
, or 300 m My
−1
, so that a 10 kilometre deep basin may accumulate
in 30 My (30 million years). On such long time scales, tectonic processes are im-
portant, and in general accumulation is not a monotonic process. If tectonic uplift
occurs so that the surface of the basin rises above sea level, then erosion leads to de-
nudation and a negative sedimentation rate. Indeed, one purpose of studying basin
porosity and pore pressure profiles is to try and infer what the previous subsidence
history was—an inverse problem.
The basic mathematical model is that of slow two-phase flow, where the phases
are solid and liquid, and is the same as that of consolidation theory. The effec-
tive pressure p
e
is related, in an elastic medium, to the porosity by a function
p
e
= p
e
(φ). In a soil, or for sediments near the surface up to depths of perhaps
500 m, the relation is elastic and hysteretic. At greater depths, more than a kilo-
metre, pressure solution becomes important, and an effective viscous relationship
becomes appropriate, as described below. At greater depths still, cementation oc-
curs and a stiffer elastic rheology should apply.
15
In addition, the permeability is a
function k =k(φ) of porosity, with k decreasing to zero fairly rapidly as φ decreases
to zero.
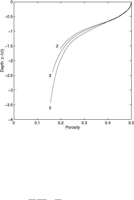
Let us suppose the basin overlies an impermeable basement at z =0, and that its
surface is at z =h; then suitable boundary conditions are
v
s
=v
l
=0atz =0,
p
e
=0,
˙
h =˙m
s
+v
s
at z =h,
(7.258)
where v
s
and v
l
are solid and liquid average velocities, and ˙m
s
is the prescribed
sedimentation rate, which we take for simplicity to be constant.
If we assume a specific elastic compactive rheology of the form
p
e
=p
0
ln(φ
0
/φ) −(φ
0
−φ)
, (7.259)
then non-dimensionalisation (using a depth scale d =
p
0
(ρ
s
−ρ
l
)g
and a time scale
d
˙m
s
)
and simplification of the model leads to the nonlinear diffusion equation, analogous
to (7.250),
∂φ
∂t
=λ
∂
∂z
˜
k(1 −φ)
2
1
φ
∂φ
∂z
−1
, (7.260)
where the permeability is defined to be
k =k
0
˜
k(φ), (7.261)
k
0
being a suitable scale for k.
15
Except that at elevated temperatures, creep deformation will start to occur.