
§2.
Функціональні ряди. Степеневі ряди
207
Звідки -4 < х < 0 - інтервал збіжності, Я = 2 - радіус збіжності.
Дослідимо збіжність на кінцях інтервалу збіжності.
При х = —4 отримуємо числовий ряд
>я-1
„=і п-2"
я=1
и
який розбігається (гармонічний ряд).
При х = 0 маємо числовий ряд
и = 1 «-2 п = \
п
який збігається умовно (ряд збігається за ознакою Лейбніца, а ряд, складе-
ний з абсолютних величин його членів, розбіжний, бо є гармонічним).
Отже, область збіжності даного ряду : (-4, 0].
Зауважимо, що для знаходження радіуса та інтервалу збіжності мож-
на використати безпосередньо ознаку Даламбера, тобто виходити з умови
и«+і(*)
того,
що, якщо Ііт
У даному випадку
|х + 2
< 1 , то ряд збіжний.
Ііт
и„(х)
Ііт
п-2"
\х + 2
іи+І
\х + 2\"
+і
-п-2"
(« + 1)2
х + 2
Л + І
"^~(и + 1)-2
п+|
-|х + 2|"
Ііт
х + 2
>
п+
1
За ознакою Даламбера ряд абсолютно збіжний, якщо
х + 2
< 1. Звід-
си | х +
21
< 2 , або -2 < х + 2 < 2, або -4 < х < 0 .
Отже, радіус збіжності Я = 2, інтервал збіжності (-4, 0). ^
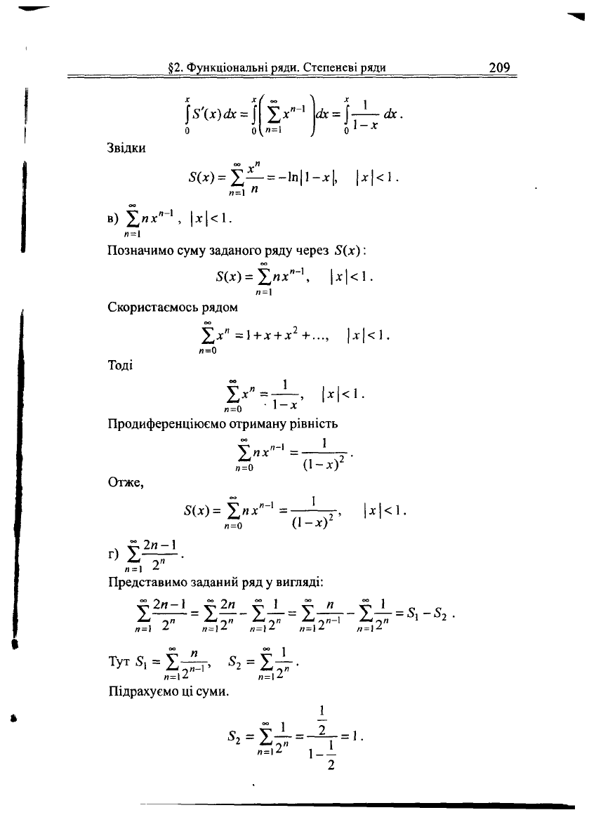
Приклад 4. Знайти суми заданих степеневих рядів, вико-
ристовуючи почленне диференціювання та інтегрування.
.2л+1
л=0
2п
+ 1
і»=1 л
х
І
< 1;
в) £их
и =
1
л-1
X <1.
2п -1
г) І"
и=1 2.