
114 5 TIME-SERIES ANALYSIS
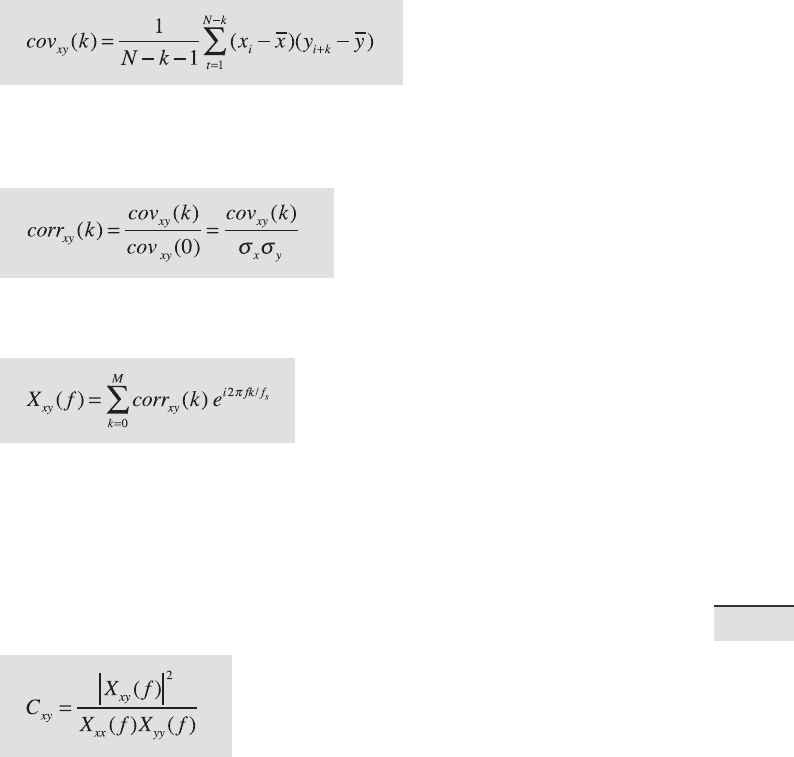
Tukey method uses the complex Fourier transform X
xx
(f) of the autocor-
relation sequence corr
xx
(k),
where M is the maximum lag and f
s
the sampling frequency. e Blackman-
Tukey auto-spectrum is the absolute value of the Fourier transform of the
autocorrelation function. In some elds, the power spectral density is used
as an alternative way of describing the auto-spectrum. e Blackman-Tukey
power spectral density PSD is estimated by
where X*
xx
(f ) is the conjugate complex of the Fourier transform of the
autocorrelation function X
xx
(f ) and f
s
is the sampling frequency. e ac-
tual computation of the power spectrum can only be performed at a nite
number of frequency points by employing a Fast Fourier Transformation
(FFT). e FFT is a method of computing a discrete Fourier transform with
reduced execution time. Most FFT algorithms divide the transform into
two portions of size N/2 at each step of the transformation. e transform
is therefore limited to blocks with dimensions equal to a power of two. In
practice, the spectrum is computed by using a number of frequencies that is
close to the number of data points in the original signal x(t).
e discrete Fourier transform is an approximation of the continuous
Fourier transform. e continuous Fourier transform assumes an in nite
signal, but discrete real data are limited at both ends, i. e., the signal am-
plitude is zero beyond either end of the time series. In the time domain, a
nite signal corresponds to an in nite signal multiplied by a rectangular
window that has a value of one within the limits of the signal and a value
of zero elsewhere. In the frequency domain, the multiplication of the time
series by this window is equivalent to a convolution of the power spectrum
of the signal with the spectrum of the rectangular window (see Section 6.4
for a de nition of convolution). e spectrum of the window, however, is a
sin(x)/x function, which has a main lobe and numerous side lobes on either
side of the main peak, and hence all maxima in a power spectrum leak, i. e.,
they lose power on either side of the peaks (Fig. 5.4).
A popular way to overcome the problem of spectral leakage is by win-
dowing, in which the sequence of data is simply multiplied by a smooth