
20-85
1
STEP
Ti
(SO0
k
REACT ON
OXIDE
2
STEP
1
STEP
2
STEP
1
STEP
600-650 "C/1-3
min
2
STEP
600-650
"C/1-3
rnin
+750 "C/30
sec
Fig. 77. Sheet resistance values
of
RTP-reacted TiN layers over silicon dioxide
(800
A
initial titanium).
Various
1-step and 2-step
RTP react processes were used.
oxide removal process is in the low-temperature chem-
ical
dry
cleaning category.
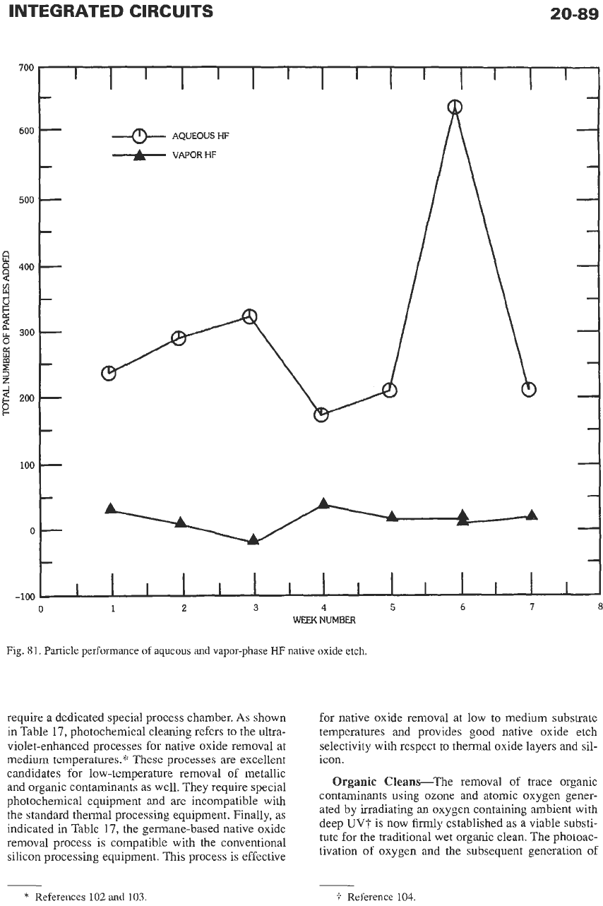
Fig.
80
shows the effectiveness of various surface
cleaning techniques (as specified by the process
energy sources and/or cleaning chemistries) for
removal of surface contaminants (e.g., native oxides)
and other undesirable surface effects (e.g., damage,
unwanted surface passivation bonds such as Si-F). The
dark bullets represent strong cleaning action for
removal
of
the specified contaminant or undesirable
surface effect using the specified processing technique.
Moreover, the light bullets demonstrate possible clean-
ing effect for the specified linked pair
of
process tech-
nique and surface contaminant. All
the
shown
techniques can be quite effective for removal of native
oxide layers. Thermal cleaning techniques such as the
germane process may also be useful for removal of
some metallic and organic contaminants besides native
oxide layers. Another example is the
ECR
plasma sur-
face cleaning technique which has proven effective for
removal of native oxide and organic contaminants."
Low-Temperature Germane-Based Surface
Cleaning-A low-temperature
(650-750
"C)
dry
sur-
face cleaning process is described for
in
situ removal
of native oxide layers and other surface contami-
nants.? The cleaning process chemistry consists of a
mixture
of
germane (GeH,) and hydrogen (H,) gases
with very low germane-to-hydrogen flow ratio
(10-20
ppm). The germane-based surface cleaning process
can be integrated with various thin film growth and
deposition processes such as epitaxial growth, gate
dielectric formation, and polycrystalline or amorphous
silicon deposition for
MOS
and bipolar device fabrica-
tion.
The stacking fault density measurements on epitax-
ial Si films grown following the in situ germane-
assisted native oxide removal have indicated that the
two most significant cleaning process parameters are
the
substrate temperature and GeH,:H, gas flow ratio.
Substrate temperatures much below
600
OC
result
in
insufficient native oxide removal and, as a result,
higher stacking fault densities in the grown epi layers
(for the range
of
small GeH,:H, flow ratios). More-
over, temperatures in excess
of
850-900
"C
result in
increased stacking fault density
in
the grown epi lay-
ers. The latter is probably due to nucleation of germa-
nium on the silicon surface during the
m
situ cleaning
*
References 75
and
76.
$
Reference
49.