
458
Глава 5. Типові розрахункові завдання
У варіантах 16
—
18 записати рівняння кривої, що проходить через
точку А(х
0
,у
0
) і має таку властивість: довжина перпендикуляра, який опу-
шений з початку координат на дотичну до кривої, дорівнює абсцисі точки
дотику.
16.
А(5; 3). 17. Л(-1;4). 18. Л(0; -5).
У варіантах 19-21 знайти рівняння кривої, яка проходить через по-
чаток координат, якщо середина відрізка її нормалі від довільної точки кри-
вої до осі Ох лежить на параболі ау
2
- 2рх .
19.
а = 2, р = 4. 20. а = 1, р =-. 21.а = 3, р = 2.
4
У варіантах 22 — 24 записати рівняння кривої, яка проходить через
точку А(х
0
,у
0
), якщо відомо, що відрізок, який відтинає дотична в довіль-
ній точці кривої на осі Оу , дорівнює півсумі координат точки дотику.
22.
Л(10;-1). 23. /4(12;-2). 24. Л(1;-9).
У варіантах 25 - 27 знайти лінію, яка проходить через точку
А
0
(х
0
,у
0
)
і мас таку властивість: в кожній її точці А(х,у) дотичний вектор
АВ з кінцевою точкою на осі Оу має проекцію на вісь Оу , що дорівнює а.
25.
Л
0
(1; 4), д = 2 .
26.
Л
0
(-1;
5), а = \ .
21.
Л
0
(1; 6), а = 3 .
У варіантах 28 - 29 знайти рівняння кривої, що проходить через точ-
ку А(х
0
,у
0
), якщо площа криволінійної трапеції, яка обмежена дугою цієї
кривої, в п разів більше довжини відповідної дуги.
28.
ДО; 2), п = 2.
29. А(0; -1), п = 4.
Уваріантах ЗО-31 знайти лінію, яка проходить через точку А(х
0
,у
0
)
і мас таку властивість: відрізок дотичної між точкою дотику і віссю ординат
має сталу довжину а .
30.
Л(2;0),а = 2.
31.
Л(-1;4), а = 3.
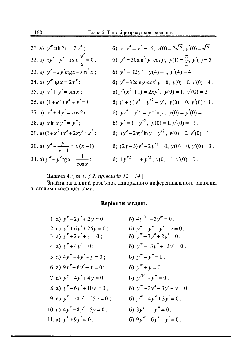
Задача 3. [ гл. 1, §2, приклади 3-9]
Розв'язати задані диференціальні рівняння, що допускають зниження
порядку.
У п.а) знайти загальний розв'язок.
У п.б) розв'язати задачу Коші.